
En Plug Flow Reactor (PFR), även känd som en kolvflödesreaktor, är ett viktigt verktyg inom kemiteknik som används för att studera hur kemiska reaktioner inträffar i ett långt rör.I denna typ av reaktor pumpas vätskor in i ena änden och rör sig stadigt genom röret till den andra änden med konstant hastighet.Flödet är smidigt och jämnt, utan virvlande eller blandning längs vägen.Detta innebär att vätskorna rör sig i separata lager eller pluggar, hålla de olika stadierna i reaktionen isär.Med andra ord, vätskorna som kommer in i röret tidigare är alltid före vätskorna som kommer in senare, och de blandas inte med varandra när de rör sig.Detta hjälper till att kontrollera den kemiska reaktionen eftersom reaktanterna hålls i ordning, vilket gör att varje del av reaktionen inträffar steg för steg när vätskorna flyter genom röret.
Det unika sättet att vätskor rör sig i en PFR har några viktiga fördelar för kemiska reaktioner.Eftersom det inte finns någon blandning bakåt, tillbringar varje vätskeskikt samma tid i reaktorn, vilket leder till en konsekvent reaktionsprocess.Detta gör det lättare att förutsäga hur mycket produkt som ska göras eftersom reaktionstiden är densamma för alla delar av vätskan.Du kan justera rörets längd och bredd, flödets hastighet och temperaturen för att kontrollera reaktionen och få de bästa resultaten.Plugflödesreaktorer är särskilt användbara för reaktioner som behöver höga temperaturer eller involverar gaser eftersom det stabila flödet håller reaktionen under kontroll.De används ofta i branscher som oljeraffinering, tillverkning av plast och behandling av avfallsgaser.Denna design är också bra för storskalig produktion eftersom det är lättare att förutsäga och kontrollera vad som händer i reaktorn.
Plugflödesreaktorer (PFR) kännetecknas av deras enkelriktade flöde, där reaktanter och produkter rör sig uteslutande i en framåtriktning längs reaktorns längd.Detta strömlinjeformade flödesmönster uppnås genom att utforma reaktorn som en tubulär ledning, vilket minimerar eventuell bakblandning av vätskelement.I en PFR upprätthåller vätskelementen, ofta kallad pluggar, sin identitet när de fortskrider genom reaktorn, vilket innebär att det finns minimal diffusion mellan angränsande pluggar.Denna ordnade rörelse är viktig för att uppnå exakt kontroll över reaktionskinetiken eftersom varje plugg upplever en unik och förutsägbar uppsättning reaktionsbetingelser när den rör sig genom reaktorn.Reaktanter vid inloppet möter de högsta koncentrationerna och den färskaste kemiska miljön, som kan utnyttjas strategiskt för att driva snabba reaktionshastigheter.

Figur 2. Plugflödesreaktor (PFR) Riktningsflödesrepresentation
När pluggarna går framåt minskar reaktantkoncentrationerna medan produktkoncentrationerna ökar, efter en sekventiell omvandlingsprocess längs reaktorns längd.Denna systematiska progression är fördelaktig för reaktioner som kräver strikt stökiometrisk kontroll eller de som är känsliga för fluktuationer i koncentration.Genom att förhindra återcirkulation och upprätthålla ett konsekvent riktningsflöde minskar PFR: erna risken för sidoreaktioner som kan uppstå om reaktanter och produkter skulle blandas eller återvinna.Detta gör PFR: er idealiska för processer som polymerisation, förbränning eller komplexa kemiska synteser.Det förutsägbara flödesmönstret förbättrar noggrannheten i reaktionsmodellering och uppskalning, vilket gör PFR: er mycket värdefulla i både forsknings- och industriella tillämpningar.
Ett definierande kännetecken för plugflödesreaktorer är utvecklingen av en koncentrationsgradient längs reaktorns längd.Vid inloppet införs reaktanter i sina högsta koncentrationer, vilket skapar en drivkraft för att reaktionen ska fortsätta.När reaktionen fortskrider minskar reaktantkoncentrationerna stadigt medan produktkoncentrationerna samtidigt ökar.Detta resulterar i en väl definierad koncentrationsgradient som utvecklas förutsägbart från inloppet till reaktorns uttag.Denna lutning är brantaste nära inloppet, där reaktantkoncentrationerna är på topp och reaktionshastigheten är högst på grund av överflödet av reaktanter.När reaktanterna konsumeras, plattas gradienten gradvis, vilket återspeglar den reducerade reaktionshastigheten när systemet närmar sig jämvikt.
Frånvaron av back-blandning i PFR: er säkerställer att varje plugg upplever en unik koncentrationsmiljö och främjar effektiv och sekventiell reaktantomvandling.Koncentrationsgradienten är fördelaktig för reaktioner med koncentrationsberoende kinetik, där reaktionshastigheten är en funktion av reaktantkoncentrationen.I sådana fall maximerar den höga reaktantkoncentrationen vid inloppet den initiala reaktionshastigheten, vilket leder till ett effektivt användning av reaktanter.Denna progressiva konsumtion av reaktanter minimerar risken för oönskade sidoreaktioner som kan uppstå vid mellanliggande koncentrationer.För processer som involverar konkurrerande reaktioner kan koncentrationsgradienten hanteras för att gynna den önskade produktvägen.Detta gör PFR: er mycket effektiva för komplexa syntesprocesser, såsom inom läkemedels- eller finkemikaliindustrin, där produktens selektivitet och ger optimering.
En av de mest fördelarna med plugflödesreaktorer är enhetlig fördelning av uppehållstid.I en PFR spenderar varje reaktantplugg samma tid att resa genom reaktorn, från inloppet till utloppet.Denna enhetliga uppehållstid säkerställer att alla reaktantmolekyler utsätts för identiska reaktionsbetingelser, inklusive temperatur, tryck och koncentrationsprofiler.Denna konsistens uppnås eftersom pluggarna rör sig genom reaktorn på ett ordnat, sekventiellt sätt utan någon back-blandning eller radiell spridning.Följaktligen finns det ingen variation i tidsreaktanterna tillbringar inuti reaktorn, som står i skarp kontrast till kontinuerliga omrörda tankreaktorer (CSTR), där reaktanter kan ha mycket varierande uppehållstider på grund av grundlig blandning.
Uniform uppehållstid är bra för att upprätthålla konsekvent produktkvalitet, särskilt i komplexa kemiska processer.I polymerisationsreaktioner garanterar till exempel konsekvent uppehållstid enhetliga polymerkedjelängder och molekylviktsfördelning, vilket leder till överlägsen produktprestanda.I farmaceutisk syntes garanterar den konsekvent kemisk renhet och styrka för lagstiftning och produkteffektivitet.Den förutsägbara fördelningen för uppehållstid förenklar kinetisk modellering och uppskalning, vilket möjliggör exakt simulering av reaktionsbeteende i industriell skala.Denna förutsägbarhet förbättrar processkontroll och optimering, vilket leder till ökad produktivitet och kostnadseffektivitet.
Plugflödesreaktorer är kända för sin höga omvandlingseffektivitet per enhetsvolym, vilket är överlägset den för kontinuerliga omrörda tankreaktorer (CSTR).I PFR konsumeras reaktanter kontinuerligt när de rör sig genom reaktorn efter en linjär och progressiv reaktionsväg.Denna sekventiella konsumtion minimerar koncentrationen av oreagerade arter när som helst längs reaktorns längd, vilket resulterar i högre totala omvandlingshastigheter.Frånvaron av back-blandning gör det möjligt att utsättas för optimala reaktionsbetingelser under hela sin resa, maximera reaktionshastigheten och minimera bildningen av oönskade biprodukter.Detta är fördelaktigt för snabba eller mycket exotermiska reaktioner som kräver snabb reaktantutarmning för att upprätthålla säkerhet och produktintegritet.
I sådana fall underlättar pluggflödesdesignen effektiv värmehantering genom att förhindra lokala temperaturspikar som kan leda till termisk språng eller försämring av produkten.PFR: s höga omvandlingseffektivitet minskar den erforderliga reaktorvolymen, vilket leder till mindre utrustningsavtryck och lägre kapitalkostnader.Denna effektivitet innebär också minskade driftskostnader, eftersom mindre energi och färre råvaror behövs för att uppnå önskat produktutbyte.Detta gör PFR: er attraktiva för storskaliga industriella tillämpningar, såsom petrokemisk bearbetning, kemisk produktion av bulk och miljöbehandlingssystem.
Plugflödesreaktorer fungerar under stabila förhållanden och upprätthåller konsekventa flödeshastigheter, koncentrationsprofiler och temperaturfördelningar i hela reaktorn.Vid drift av stabilitet är inflödet och utflödeshastigheterna konstant, vilket säkerställer en kontinuerlig och oavbruten produktionsprocess.Denna stabilitet är bra för att upprätthålla enhetlig produktkvalitet, vilket är viktigt i industrier som petrokemisk raffinering, polymertillverkning och storskalig kemisk syntes.PFR: s stabila tillstånd förenklar processkontroll och automatisering eftersom systemets driftsparametrar förblir konstant över tid.
Denna förutsägbarhet förbättrar skalbarheten och processens tillförlitlighet, vilket minskar komplexiteten i övervakning och justering av reaktionsförhållanden.Dessutom minimerar driften av stabil tillstånd fluktuationer i produktkompositionen, vilket säkerställer en konsekvent kemisk renhet och kvalitet för produkter med högt värde som läkemedel och specialkemikalier.Steady-state-drift underlättar också energieffektivitet och processoptimering, eftersom de ständiga driftsförhållandena möjliggör exakt kontroll av termiska och massöverföringsprocesser.Detta gör att PFR: er är lämpliga för applikationer som kräver stram kontroll över reaktionskinetik och produktselektivitet, vilket ytterligare bidrar till kostnadsbesparingar och hållbarhet i kemisk tillverkning.
Plugflödesreaktorer är utformade för att stödja effektiv värmeöverföring och hanteringstemperaturer i exotermiska eller endotermiska reaktioner.Det konsekventa flödesmönstret förhindrar back-blandning, vilket möjliggör exakt temperaturkontroll längs reaktorns längd.Detta möjliggör implementering av kontrollerade temperaturgradienter eller användning av värmeväxlare för att optimera termisk hantering.Effektiv värmeöverföring förbättrar inte bara energieffektiviteten utan förbättrar också produktens selektivitet, vilket gör PFR: er idealiska för temperaturkänsliga reaktioner, såsom de i fin kemisk syntes eller katalytiska processer.I mycket exotermiska reaktioner hjälper PFR: er att sprida värme effektivt, förhindra termisk språng och säkerställa säker drift.Omvänt underlättar de i endotermiska reaktioner effektiv värmeförsörjning för att upprätthålla reaktionshastigheter och omvandlingseffektivitet.
PFR: er är mångsidiga och kan rymma gasfas, vätskefas och heterogena reaktioner, inklusive de som involverar katalysatorer.Denna anpassningsförmåga gör det möjligt att användas i en mängd olika kemiska processer, såsom gasfasoxidation, vätskefaspolymerisation och katalytisk hydrering.Plugflödesdesignen maximerar reaktantkatalysatorkontakt, förbättring av reaktionshastigheter och katalysatoreffektivitet för industriella tillämpningar i petrokemisk bearbetning, polymertillverkning och miljökatalys.
En pluggflödesreaktor (PFR) är utformad för att vara effektiv och användbar vid kemisk bearbetning.Det ser vanligtvis ut som ett långt, smalt rör eller rör, som låter kemikalier flyta stadigt från ena änden till den andra.Inuti röret finns det inga blandningsverktyg, som omrörare.På grund av detta rör sig kemikalierna smidigt, som en kolv, utan att blanda ihop.Detta stadiga flöde hjälper reaktionerna jämnt och möjliggör god kontroll över hur snabbt de inträffar.Detta gör PFR: er mycket användbara i kemiska fabriker och industrier.

Bild 3. Plugflödesreaktorschematiskt
Diagrammet visar en pluggflödesreaktor (PFR), en typ av kemisk reaktor utformad för kontinuerlig kemisk bearbetning.I denna installation kommer reaktanter in vid inloppet (x = 0) och rör dig stadigt genom ett cylindriskt rör mot utloppet (x = l).Flödet i reaktorn är strömlinjeformat och bibehåller en konsekvent hastighetsprofil där varje fluidelement reser parallellt med reaktorns axel utan någon back-blandning.Detta arrangemang gör det möjligt för reaktanter att gradvis konvertera till produkter när de utvecklas längs reaktorns längd.Det skuggade segmentet markerat som 𝑑𝑥 representerar ett litet volymelement i reaktorn.Denna differentiella skiva behövs för att modellera kemiska reaktioner som inträffar inuti PFR, eftersom det hjälper till att utvärdera förändringar i reaktionshastighet och koncentration när reaktanterna går framåt.
Frånvaron av radiell blandning bevarar pluggflödesförhållandet, vilket säkerställer att varje vätskelement upprätthåller sin identitet och sammansättning under hela sin resa.Som ett resultat varierar koncentrationen och reaktionshastigheterna längs reaktorns längd men förblir enhetlig över alla tvärsnitt.Denna pluggflödeskarakteristik gör PFR: er lämpliga för kemiska processer som kräver exakt kontroll över reaktionstid och produktbildning.Eftersom alla vätskelement har samma uppehållstid, levererar reaktorn konsekvent produktkvalitet och effektiv reaktantomvandling.På grund av dessa fördelar används PFR: er i stor utsträckning i kemisk tillverkning, inklusive tillämpningar såsom polymerisation, gasfasreaktioner och katalytiska processer.
En pluggflödesreaktor (PFR) fungerar på ett unikt flödesmönster som håller reaktionsförhållandena konsekventa under dess längd.Denna design möjliggör exakt kontroll över uppehållstid, temperatur och tryck, vilket gör PFR: er mycket effektiva för kemiska processer som kräver exakt reaktionshantering.Detta avsnitt undersöker de detaljerade operativa principerna för PFR och deras betydelse vid industriell kemisk bearbetning.
I en pluggflödesreaktor (PFR) rör sig vätskor kontinuerligt och enhetligt längs ett cylindriskt rör eller rör, vilket skapar ett mycket organiserat flödesmönster.Reaktanter introduceras i ena änden av reaktorn och flödar stadigt till den andra änden, där de går ut som produkter.Denna design säkerställer en sömlös progression från inlopp till utlopp utan avbrott i vätskans rörelse.Reaktorens arkitektur upprätthåller en konsekvent flödesriktning och förhindrar strikt bakåtblandning eller återcirkulation.Denna enkelriktade rörelse är viktig för att bevara den kemiska integriteten hos reaktanter och produkter när de reser genom reaktorn.Ett viktigt kännetecken för detta flödesmönster är att varje litet segment, eller plugg av vätska behåller sin egen unika kemiska identitet när den rör sig genom reaktorn.Dessa pluggar blandas inte med varandra i sidled, vilket säkerställer att kompositionen i varje plugg förblir konstant under hela sin resa.
Denna isolering av vätskesegment bevarar koncentrationsgradienterna för effektiva kemiska reaktioner.Frånvaron av radiell blandning leder också till en mer förutsägbar reaktionsprofil, vilket möjliggör korrekt modellering och optimering av kemiska processer.Det strömlinjeformade flödesmönstret i en PFR minimerar turbulens och kaotisk rörelse, vilket hjälper till att upprätthålla integriteten hos reaktantströmmar.Detta ordnade flöde stöder hög omvandlingseffektivitet eftersom reaktanterna konsekvent upplever samma reaktionsförhållanden som de passerar genom reaktorn.Frånvaron av back-blandning säkerställer att uppehållstiden för varje plugg är identisk, vilket leder till enhetlig exponering för temperatur och tryck.Denna enhetlighet förbättrar reaktionshastigheterna och förbättrar produktens selektivitet, vilket resulterar i en mer kontrollerad och effektiv kemisk process.På grund av den exakta kontrollen över flödesmönster och reaktionsförhållanden är PFR: er lämpliga för reaktioner som kräver en konsekvent miljö för att uppnå höga utbyten och selektivitet.

Figur 4. Plugflödesreaktor (PFR) Kontinuerligt flöde och reaktionsprogression
Reaktorns förmåga att upprätthålla drift med stabilitet med minimala fluktuationer i koncentration eller temperatur gör det till ett idealiskt val för kemiska och läkemedelsindustrier.I dessa sektorer är det viktigt att upprätthålla produktkonsistens och kvalitet, och PFR: s förutsägbara prestanda stöder dessa krav effektivt. Skalbarheten för PFR: er förbättrar deras användbarhet ytterligare i industriella tillämpningar.Deras modulära design möjliggör enkel justering av reaktorlängd och diameter för att rymma olika produktionskapacitet.Denna flexibilitet, i kombination med deras effektiva flödesegenskaper, gör PFR till ett föredraget alternativ för storskalig kontinuerlig bearbetning.Som ett resultat används de allmänt i processer såsom polymerisation, hydrering och katalytiska reaktioner, där upprätthållande av en kontrollerad reaktionsmiljö är behov av produktkvalitet och processeffektivitet.
Plug -flödesreaktorer (PFR) erbjuder flera fördelar för kemiska transformationer.De tillhandahåller exakt reaktionskontroll genom att upprätthålla en stadig flödeshastighet och förhindra back-blandning, vilket säkerställer att varje plugg av reaktant upplever konsekventa reaktionsbetingelser.Detta förbättrar effektiviteten och minimerar biprodukter, vilket är viktigt för känsliga reaktioner som alkoholoxidation eller pigmentproduktion.PFR: er ger också hög produktrenhet och konsistens eftersom alla reaktanter genomgår samma reaktionstid och förhållanden.Genom att förhindra back-blandning förbättrar de selektiviteten och minskar oönskade sidoreaktioner, vilket gör dem idealiska för komplexa kemiska processer.Dessutom stöder PFR: s kontinuerliga produktion, minimerar driftstopp och minskar kostnaderna, vilket förbättrar effektiviteten i storskalig tillverkning.Deras skalbarhet och flexibilitet möjliggör enkel justering av flödeshastigheter och reaktordimensioner, vilket säkerställer konsekventa resultat från pilotskala till fullskalig produktion.Dessa fördelar gör PFR: er till ett föredraget val för kontrollerade kemiska transformationer inom branscher som kräver hög precision och effektivitet.
Plugflödesreaktorer (PFR) är utformade för att upprätthålla ett enhetligt flöde, vilket säkerställer att alla reaktantpartiklar rör sig genom reaktorn med samma hastighet.Denna enhetlighet garanterar att varje oändlig plugg av vätska, som innehåller reaktantmolekyler, identiska uppehållstider när den rör sig från inloppet till utloppet.Som ett resultat utsätts varje molekyl som kommer in i reaktorn för konsekventa reaktionsbetingelser, inklusive temperatur, tryck och koncentrationsgradienter, när den fortskrider genom reaktionsvägen.Detta enhetliga flödesmönster minimerar variationer i reaktionshastigheter, vilket leder till mer förutsägbara och kontrollerbara kemiska transformationer.Och eftersom det inte finns någon lateral blandning i varje plugg, förblir koncentrationsprofilen skarpt definierad längs reaktorns längd, vilket möjliggör exakt kontroll över reaktionskinetik och omvandlingshastigheter.Denna egenskap gör PFR: er fördelaktiga för att genomföra reaktioner som kräver strikt bostadstidshantering för att uppnå optimala utbyten.
Pluggflödesmönstret i PFR: er eliminerar effektivt back-blandning eller återcirkulation av reaktanter, ett vanligt problem i andra reaktortyper såsom kontinuerliga omrörda tankreaktorer (CSTR).Genom att förhindra någon interaktion mellan reaktanter i olika omvandlingsstadier förbättrar PFR: s reaktionseffektivitet och säkerställer en mer enhetlig produktkomposition.Denna brist på back-blandning minimerar också bildningen av oönskade biprodukter, eftersom reaktanter inte kan för tidigt interagera med mer avancerade reaktionsmellanprodukter eller slutprodukter.Den resulterande enhetliga reaktionsmiljön är fördelaktig för komplexa kemiska system för selektivitet och produktrenhet.Följaktligen används PFR: er allmänt i branscher som kräver kemisk syntes med hög precision, såsom läkemedel och specialkemikalier.Deras förmåga att upprätthålla konsekventa reaktionsbetingelser samtidigt som man undviker korskontaminering mellan reaktionsstegen visar deras betydelse i moderna kemitekniska processer.
I en pluggflödesreaktor (PFR) är tiden då varje grupp av reaktantmolekyler spenderar inuti reaktorn konsekvent, vilket är mycket viktigt för att få de bästa reaktionshastigheterna och hög omvandlingseffektivitet.I en PFR kommer reaktanter in som separata pluggar som rör sig genom reaktorn med samma hastighet, vilket innebär att varje plugg upplever samma förhållanden, såsom temperatur och tryck, som den reser igenom.Denna till och med exponering möjliggör exakt kontroll över hur långt reaktionen går och vilka produkter som tillverkas.Eftersom varje plugg får samma behandling minskas chanserna för oönskade sidoreaktioner eller variationer i produktkvaliteten kraftigt.Detta gör PFR: er användbara för reaktioner som är känsliga för förändringar i temperatur, tryck eller tid.Genom att tillhandahålla en stadig och förutsägbar miljö hjälper PFR: er att uppnå konsekventa och pålitliga reaktionsresultat, vilket leder till optimerade reaktionshastigheter.
PFR: er förhindrar också blandning av reaktanter längs flödesvägen, vilket hjälper till att kontrollera reaktionen mer effektivt.Till skillnad från kontinuerliga omrörda tankreaktorer (CSTR), där reaktanterna kontinuerligt blandas, upprätthåller PFR: er ett jämnt flöde där reaktanter går framåt utan att blanda med pluggarna bakom eller framför dem.Detta säkerställer att reaktanterna gradvis omvandlas till produkter när de rör sig genom reaktorn, vilket hjälper till att undvika överreaktion eller underreaktion.Denna exakta kontroll över reaktionstiden och koncentrationen förbättrar selektiviteten för den önskade produkten, vilket resulterar i högre utbyten och bättre total effektivitet.Denna kontrollnivå är viktig för komplexa reaktioner som producerar mellanarter, eftersom det tillåter noggrann hantering av dessa mellanprodukter för att undvika oönskade sidoreaktioner.På grund av detta används PFR: er allmänt i branscher där hög selektivitet, produktivitet och konsekvent produktkvalitet krävs.
Det stabila flödesmönster som är karakteristiskt för plugflödesreaktorer (PFR) säkerställer enhetliga temperatur- och tryckprofiler under hela reaktorns längd.Denna enhetlighet är bra för att förhindra lokala hotspots eller kalla zoner som kan påverka reaktionshastigheter och produktkvalitet negativt.I kemiska processer kan temperaturvariationer leda till ojämna reaktionshastigheter, vilket orsakar bildning av oönskade biprodukter eller inkonsekventa produktutbyten.Genom att upprätthålla en konsekvent temperaturprofil möjliggör PFR: er mer exakt kontroll över reaktionskinetik, vilket säkerställer att de kemiska reaktionerna fortsätter med den avsedda hastigheten.Denna kontroll är fördelaktig för mycket exotermiska eller endotermiska reaktioner, där till och med mindre temperaturfluktuationer kan leda till flyktiga reaktioner eller ofullständiga omvandlingar.Den enhetliga temperaturfördelningen bidrar till förbättrad säkerhet, produktkonsistens och övergripande processtillförlitlighet.
Förutom temperaturens enhetlighet säkerställer det stabila flödesmönstret i PFR: er också konsekventa tryckprofiler längs reaktorns längd.En stabil tryckmiljö hjälper till att upprätthålla de önskade flödeshastigheterna och reaktantkoncentrationerna för att uppnå optimal omvandlingseffektivitet.Denna konsistens förbättrar värme- och massöverföringseffektiviteten, vilket gör att reaktanter kan interagera jämnt med katalysatorn eller reaktionsmediet.De förbättrade massöverföringen minimerar koncentrationsgradienter, som annars kan begränsa reaktionshastigheter och lägre omvandlingseffektivitet.Enhetliga tryck- och temperaturprofiler minskar mekanisk stress på reaktorväggarna, förlänger livslängden och minskar underhållskostnaderna.Sammantaget maximerar PFR: s förmåga att upprätthålla stadig temperatur- och tryckförhållanden reaktionseffektivitet och produktkvalitet samtidigt som man säkerställer säker och pålitlig drift.
Plugflödesreaktorer (PFR) ger fördelar med att kontrollera reaktionsselektiviteten på grund av deras konsekventa flödesmönster och frånvaron av back-blandning.I en PFR rör sig reaktanter genom reaktorn som en plugg och bibehåller sina relativa positioner under reaktorns längd.Detta enkelriktade flödesmönster möjliggör en förutsägbar utveckling av den kemiska reaktionen, eftersom reaktanter konsumeras stadigt längs reaktorns längd.När reaktanterna tappas är en koncentrationsgradient naturligt etablerad, vilket kontinuerligt driver reaktionen framåt.Denna lutning säkerställer att reaktanterna utsätts för optimala reaktionsbetingelser vid varje punkt längs reaktorn och främjar effektiva omvandlingshastigheter.Det ordnade flödet minimerar sannolikheten för för tidig blandning av reaktanter och produkter, bevarar den avsedda reaktionsvägen och förbättrar selektiviteten.Frånvaron av back-blandning bidrar inte bara till bättre kontroll över reaktionsmiljön utan hjälper också till att upprätthålla en skarpare övergång mellan reaktantrika och produktrika zoner, vilket optimerar den totala reaktionseffektiviteten.
Denna flödesegenskap är fördelaktig för reaktioner som följer första ordning eller högre ordning kinetik, där reaktionshastigheten påverkas direkt av reaktantkoncentrationer.I sådana fall säkerställer koncentrationsgradienten längs reaktorlängden att reaktionshastigheten är konsekvent hög där reaktantkoncentrationerna är störst och avsmalnar när reaktanter tappas.Avsaknaden av radiell blandning i PFR garanterar att alla reaktantmolekyler är enhetligt utsatta för katalysatorn eller reaktionsbetingelserna, vilket förhindrar lokala variationer som kan leda till sidoreaktioner eller bildning av oönskade biprodukter.Denna enhetliga exponering förbättrar selektiviteten mot den önskade produkten, eftersom den minskar chansen för konkurrerande reaktioner som inträffar under varierande koncentrationsförhållanden.Genom att upprätthålla en kontrollerad miljö och förhindra avvikelser i reaktantkoncentrationer erbjuder PFR: er överlägsen kontroll över reaktionsvägar, maximering av utbyte och produktrenhet.
Att välja mellan en kontinuerlig omrörad tankreaktor (CSTR) och en plugflödesreaktor (PFR) beror på de specifika behoven i en kemisk process.Dessa två reaktortyper har distinkta operativa principer och passar för olika reaktionskinetik.Att förstå deras skillnader hjälper till att välja den mest effektiva reaktorn för en given applikation.
CSTR: er (kontinuerliga omrörda tankreaktorer) är utformade för att uppnå och upprätthålla idealiska blandningsförhållanden, vilket säkerställer att koncentrationen, temperaturen och trycket förblir enhetlig under hela reaktorvolymen.Detta innebär att alla reaktanter som kommer in i systemet omedelbart och helt blandas med innehållet som redan är inne, vilket leder till en homogen blandning hela tiden.På grund av denna välblandade natur har utgångsströmmen som lämnar reaktorn en identisk sammansättning till den inre reaktionsblandningen, vilket säkerställer drift med stabil tillstånd.Denna egenskap är fördelaktig för reaktioner som kräver stabila driftsförhållanden, eftersom det möjliggör exakt kontroll över reaktionsparametrar.Den välblandade miljön förenklar kinetisk modellering eftersom reaktionshastigheter förblir konsekventa över reaktorn.Denna förutsägbarhet är fördelaktig för exotermiska reaktioner som utgör en risk för termisk språng, eftersom effektiv värmeavledning i hela reaktorn minimerar sannolikheten för lokala hotspots.Som ett resultat används CSTR: er vanligtvis i storskaliga industriella tillämpningar där upprätthållande av en kontrollerad och enhetlig reaktionsmiljö är behov av både säkerhet och effektivitet.

Bild 5. Jämförelse av idealisk blandning kontra segmenterat flöde i reaktorer
Däremot fungerar PFR: er (plugflödesreaktorer) under ett segmenterat eller pluggflödesregime, där enskilda vätskelement eller pluggar rör sig i följd genom reaktorn utan att blanda i sidled med varandra.Detta flödesmönster fastställer en koncentrationsgradient längs reaktorns längd, vilket innebär att reaktantkoncentrationerna är högst vid inloppet och minskar gradvis när de konsumeras i reaktionen, medan produktkoncentrationerna ökar mot utloppet.Eftersom varje plugg behåller sin distinkta kemiska sammansättning under sin resa, fortskrider reaktionen på ett kontrollerat och förutsägbart sätt längs reaktorns axiella riktning.Till skillnad från CSTR: er, som antar omedelbar blandning, möjliggör PFR: er en gradvis omvandling av reaktanter till produkter, som efterliknar beteendet hos batchreaktorer men kontinuerligt.Detta flödesbeteende är användbart i reaktioner där minimering av back-blandning är nödvändig för att uppnå hög omvandlingseffektivitet.Frånvaron av fullständig blandning säkerställer att reaktanter tillbringar en definierad tid i reaktorn, vilket gör det möjligt att utforma reaktorer med optimerade uppehållstider för specifika reaktioner.
De segmenterade flödesegenskaperna för PFR erbjuder fördelar för reaktioner som kräver exakt kontroll över reaktionskinetik och produktpliktivitet.Genom att förhindra utspädning av mellanarter genom blandning möjliggör PFR bättre manipulation av reaktionsvägar för att optimera selektiviteten och minimera bildningen av oönskade biprodukter.Detta är viktigt i branscher som petrokemikalier och läkemedel, där slutproduktens renhet är ett viktigt problem.Möjligheten att upprätthålla distinkta kemiska kompositioner inom varje plugg möjliggör effektivare användning av katalysatorer, eftersom reaktanter möter optimala förhållanden under hela deras progression.Medan CSTR: er ger fördelen med drift av stabilitet och enkel kontroll, är PFR bättre lämpade för scenarier där maximering av omvandling och upprätthållande av strikt kinetisk kontroll är prioriteringar.Valet mellan en CSTR och en PFR beror på de specifika kraven i reaktionen, inklusive faktorer som önskat produktutbyte, värmehantering och reaktionstidsbegränsningar.
Flödesdynamiken i en pluggflödesreaktor (PFR) kan förstås konceptuellt som en serie extremt tunna, perfekt blandade kontinuerliga omrörd tankreaktorer (CSTR) arrangerade i följd längs reaktorns längd.Var och en av dessa miniatyr CSTR: er säkerställer fullständig blandning i radiell riktning samtidigt som en strikt separation bibehålls i den axiella riktningen, vilket innebär att det inte finns någon bakåtblandning mellan olika segment.Denna unika egenskap möjliggör etablering av en kontinuerlig och gradvis koncentrationsgradient, där reaktantkoncentrationer minskar stadigt medan produktkoncentrationerna ökar när reaktionen går från inloppet till utloppet.På grund av denna design driver PFR: er effektivt kemiska reaktioner framåt med större effektivitet, vilket säkerställer att reaktanter genomgår en kontrollerad omvandling till produkter utan risken för att återföra framsteg av reaktion.Denna segmenterade flödesmodell är mycket fördelaktigt för att exakt simulera komplexa reaktionskinetik, eftersom den tillåter förutsäga reaktionshastigheter och optimera reaktordimensioner baserat på den tidsberoende utvecklingen av reaktanter och produkter.Förmågan att exakt kontrollera reaktionsbetingelser längs reaktorlängden gör PFR: er användbara för processer som kräver specifika reaktionssekvenser, såsom de som involverar flera reaktionssteg eller mellanprodukter som behöver exakt exponering för reaktanter innan de flyttar till nästa fas.
Å andra sidan fungerar kontinuerliga omrörda tankreaktorer (CSTR: er) under principen om fullständig och enhetlig blandning genom reaktorns hela volym, vilket säkerställer att alla reaktantmolekyler är jämnt fördelade och utsatta för identiska reaktionsbetingelser.Denna fullständiga blandning resulterar emellertid i en bred uppehållstidsfördelning, vilket innebär att inte alla reaktantmolekyler tillbringar samma tid inom reaktorn.Vissa molekyler kan lämna systemet för tidigt, innan de genomgår en fullständig reaktion, medan andra kan stanna kvar i reaktorn under en längre period, vilket potentiellt kan leda till överreaktion eller oönskade sidoreaktioner.Denna variation i uppehållstid kan direkt påverka konsistensen och kvaliteten på slutprodukten, vilket gör CSTR: er mindre idealiska för reaktioner som kräver exakt uppehållstidskontroll eller hög konverteringseffektivitet.I industriella tillämpningar där reaktionsuniformitet och drift av stabil tillstånd behövs förblir CSTR ett populärt val på grund av deras enkla drift och förmåga att hantera storskalig kontinuerlig produktion.För mycket selektiva reaktioner eller de som involverar flera reaktionssteg ger PFR ofta ofta överlägsen prestanda genom att säkerställa att reaktanter följer en väldefinierad och förutsägbar reaktionsväg utan den oförutsägbarhet i samband med breda uppehållstidsfördelningar i CSTR: er.
Kontinuerliga omrörda tankreaktorer (CSTR) ger en välblandad och stabil reaktionsmiljö, vilket gör dem fördelaktiga för kemiska processer som involverar långsam reaktionskinetik eller kräver exakt termisk reglering.Eftersom reaktantkoncentrationer förblir konstant i hela reaktorn på grund av kontinuerlig omrörning, kan reaktionshastigheter hållas vid stabila nivåer, vilket säkerställer förutsägbar prestanda.Detta är användbart för reaktioner där att upprätthålla en enhetlig koncentrationsprofil är nödvändig för att upprätthålla reaktionens framsteg, liksom för jämviktsbegränsade reaktioner där konstant reaktantpåfyllning är fördelaktig.Den kontinuerliga omrörningen i en CSTR underlättar effektiv värmefördelning, vilket förhindrar lokala temperaturvariationer som annars kan leda till reaktionsinstabilitet eller oönskade sidoreaktioner.Genom att bibehålla enhetliga termiska förhållanden minimerar CSTR: erna riskerna med exotermiska reaktioner, såsom plötsliga temperaturspikar som kan äventyra säkerheten eller produktkvaliteten.Denna förmåga att reglera temperatur och koncentration med hög precision gör CSTR till ett föredraget val för storskaliga industriella processer för att säkerställa produktens enhetlighet, minimera sidoreaktioner och upprätthålla operativ säkerhet.
Däremot erbjuder plugflödesreaktorer (PFR) en tydlig fördel när det gäller kinetisk kontroll och reaktionseffektivitet för processer som kräver hög selektivitet och förutsägbara omvandlingshastigheter.Det enkelriktade flödet av reaktanter genom en PFR säkerställer att varje molekyl följer en väldefinierad väg genom reaktorn och upplever en konsekvent uppehållstid utan back-blandning eller för tidig utspädning.Denna kontrollerade progression av reaktanter möjliggör exakt manipulation av reaktionsbetingelser, vilket är viktigt för snabba, irreversibla reaktioner där reaktanter måste genomgå fullständig transformation innan de lämnar reaktorn.Frånvaron av back-blandning möjliggör också bättre kontroll över mellanarter, vilket säkerställer att varje steg i reaktionen inträffar under optimala förhållanden för att maximera selektiviteten.Genom att upprätthålla en stadig koncentrationsgradient och möjliggöra effektiv reaktionsprogression ger PFR: er överlägsen prestanda för processer som kräver hög omvandlingseffektivitet, vilket gör dem till det föredragna valet för applikationer där maximering och produktrenhet är en högsta prioritet.
Kontinuerliga omrörda tankreaktorer (CSTR) används allmänt i industriella processer för kontinuerlig blandning och upprätthållande av enhetliga reaktionsförhållanden.En av de vanligaste tillämpningarna av CSTR: er är i jäsningsprocesser, där mikroorganismer eller enzymer kräver en konsekvent miljö för att upprätthålla optimal metabolisk aktivitet.Den ständiga omrörningen säkerställer att näringsämnen, syre och andra reaktanter är jämnt fördelade över hela systemet, vilket förhindrar lokal utarmning som kan hindra mikrobiell tillväxt eller enzymatisk effektivitet.CSTR: er är mycket effektiva för att hantera mycket viskösa vätskor, såsom de som möter i polymerisationsreaktioner, där upprätthållande av enhetlig omrörning är nödvändig för att uppnå konsekvent molekylviktsfördelning och förhindra lokal bildning av gel.Deras förmåga att tillhandahålla exakt temperaturkontroll är en annan nyckelfaktor i deras industriella användbarhet, för exotermiska reaktioner som kräver effektiv värmeavledning för att förhindra termisk borttagning.De homogena förhållandena inom en CSTR gör det till ett idealiskt val för vätskefasreaktioner, när produktkvalitet och processstabilitet är betydelse.Branscher som förlitar sig på CSTR: er inkluderar läkemedel, fina kemikalier, avloppsrening och livsmedels- och dryckeproduktion, där konsistens i reaktionsförhållanden direkt påverkar produktprestanda och lagstiftning.
Plugflödesreaktorer (PFR) är å andra sidan det föredragna valet för processer som kräver höga omvandlingshastigheter, exakt kontroll över reaktionskinetiken och minimal back-blandning.Deras design gör dem väl lämpade för gasfasreaktioner, såsom de som används vid produktion av ammoniak, metanol och väte, där upprätthållande av en kontrollerad koncentrationsgradient är utmärkt för att optimera utbytet.PFRS spelar också en roll i katalytisk sprickning, en nyckelprocess inom petroleumsindustrin som används för att dela upp stora kolvätmolekyler i mer värdefulla produkter som bensin och diesel.Det enkelriktade flödesmönstret för PFR stöder hög reaktionseffektivitet genom att säkerställa att reaktanter genomgår en förutsägbar transformation, minimerar sidoreaktioner och förbättrar selektiviteten.PFR: er kan utformas som packade bäddreaktorer, där fasta katalysatorer eller strukturerade förpackningsmaterial förbättrar massa och värmeöverföring, vilket gör dem idealiska för katalytiska och heterogena reaktioner.Denna anpassningsförmåga gör det möjligt att använda PFR: er i ett brett spektrum av kemiska produktionsprocesser, inklusive oxidationsreaktioner, polymersyntes och specialtillverkning.Deras förmåga att uppnå hög omvandlingseffektivitet med exakt kinetisk kontroll gör dem till en kärna i storskaliga industriella tillämpningar, särskilt inom de petrokemiska, polymer- och specialkemiska sektorerna.
Derivationen av pluggflödesreaktor (PFR) -ekvationen är viktig för att förstå hur PFR effektivt kontrollerar kemiska reaktioner genom exakt hantering av reaktionskinetik, temperatur och tryck.Denna uppdelning förklarar de grundläggande principerna och matematiska stegen som är involverade i att formulera PFR -ekvationen, vilket ger insikt i hur dessa reaktorer uppnår höga omvandlingshastigheter och selektivitet.
En PFR fungerar enligt principen om kontinuerligt och enhetligt flöde.Reaktanter kommer in i ena änden och rör sig genom reaktorn på ett plug-liknande sätt och går stadigt mot utloppet utan back-blandning eller radiell spridning.Detta flödesmönster liknar en kolv som rör sig genom en cylinder, där varje segment av vätska behåller sin kemiska identitet och fortskrider med samma hastighet.Denna enhetliga rörelse säkerställer att varje segment av reaktant upplever samma uppehållstid och upprätthåller konsekventa reaktionsförhållanden.Denna konsistens är bra för exakt kinetisk kontroll, vilket gör PFR: er effektiva för komplexa reaktioner som kräver korrekt tidpunkt och koncentrationshantering.
Driften av en PFR förlitar sig på att applicera massa och värmebalans inom en differentiell volym av reaktorn.Genom att analysera en liten skiva vätska när den rör sig genom reaktorn är det möjligt att modellera den kemiska kinetiken och förutsäga produktdistribution exakt.I en idealisk PFR håller frånvaron av back-blandning och radiell dispersion varje vätskesegment distinkt och bevarar dess kemiska historia.Detta enkelriktade flödesmönster skapar en koncentrationsgradient längs reaktorns längd, reaktantkoncentrationerna minskar medan produktkoncentrationerna ökar.Denna lutning driver effektivt den kemiska reaktionen framåt.Massbalans används för att spåra konsumtionen av reaktanter och bildning av produkter, medan värmebalans står för temperaturförändringar som påverkar reaktionshastigheter.För enkelhets skull antar härledningen ofta isotermiska förhållanden, med fokus på massbalans och reaktionskinetik utan komplexiteten i temperaturvariationer.
PFR -ekvationen härstammar från massbalansen på en differentiell volym av reaktorn.Under isotermiska förhållanden balanseras förändringen i reaktantkoncentrationen längs reaktorns längd av reaktionshastigheten.Den differentiella formen för massbalansekvationen är:

Där:
𝐶𝑖 = Koncentration av reaktant 𝑖 vid position 𝑥
𝑥 = Position längs reaktorns längd
𝑟 = Reaktionshastighet, som beror på reaktantkoncentrationer och kinetik
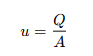
𝑢 = Konstant vätskehastighet
Denna ekvation visar att förändringen i reaktantkoncentrationen är direkt relaterad till reaktionshastigheten och hastigheten för vätskan som rör sig genom reaktorn.Det ger en exakt representation av reaktionskinetiken inom PFR.För att lösa denna differentiella ekvation ställs gränsvillkoren vid reaktorns inlopp, där den initiala koncentrationen av varje reaktant är känd:

Integrationen utförs från inloppet (𝑥 = 0) till utloppet (𝑥 = 𝐿), där 𝐿 är reaktorns totala längd.Att lösa ekvationen över denna längd ger koncentrationsprofilen för varje reaktant när den rör sig genom reaktorn.Denna koncentrationsprofil möjliggör förutsägelse av utgångskoncentrationer och övergripande reaktorprestanda, vilket hjälper designreaktorer som uppnår önskad produktutbyte och selektivitet.

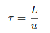
Genom att upprätthålla en konstant hastighet säkerställer reaktorn att alla vätskesegment har samma uppehållstid för att uppnå konsekventa reaktionsbetingelser.Den genomsnittliga uppehållstiden (𝜏), en viktig design- och driftsparameter, beräknas av:

Detta värde representerar den genomsnittliga tiden som en reaktant tillbringar i reaktorn.Det är bra för att ställa in reaktorns prestanda, särskilt för snabba reaktioner eller de som är känsliga för exponeringstid.Genom att justera 𝜏 kan du optimera konverteringsfrekvensen och produktutbytet.
En första ordning irreversibel reaktion i en plug-flödesreaktor (PFR) involverar en enda reaktant som sönderdelas till en produkt utan någon bakåtreaktion.Denna reaktionstyp är viktig i kemiteknik, eftersom den modellerar många nedbrytnings- och isomeriseringsprocesser.I detta exempel omvandlas reaktant 𝐴 till produkt 𝐵 efter första ordningens kinetik.Det här avsnittet förklarar hur PFR: s design förbättrar reaktionens effektivitet och selektivitet.
I en PFR representeras reaktionen som:
𝐴 → 𝐵
Detta indikerar att reaktant 𝐴 irreversibelt förvandlas till produkt 𝐵 enligt första ordningens kinetik, vilket innebär att reaktionshastigheten är direkt proportionell mot koncentrationen av 𝐴.Denna enkla modell används ofta i industriella kemiska processer för att säkerställa fullständig omvandling av 𝐴 till 𝐵 under rätt förhållanden.PFR: s kontinuerliga, enkelriktade flöde utan back-blandning ger en idealisk miljö för första ordningens reaktioner.Varje plugg av reaktant rör sig genom reaktorn med en konstant hastighet, bibehåller dess kemiska identitet och upplever samma reaktionsbetingelser.Denna konsistens stöder hög omvandlingseffektivitet och exakt kontroll över produktens selektivitet.Den styrande ekvationen för en första ordning irreversibel reaktion i en PFR härrör från en massbalans på ett differentiellt reaktorsegment.Det uttrycks som:

Där:
𝐶𝐴 = Koncentration av reaktant 𝐴 vid position 𝑥
𝑥 = Position längs reaktorns längd
𝑘 = Reaktionshastighetskonstant, vilket indikerar reaktionens hastighet
𝑢 = Konstant vätskehastighet genom reaktorn
Denna ekvation visar att förändringshastigheten för 𝐴: s koncentration längs reaktorns längd beror på den första ordningens kinetik, där det negativa tecknet indikerar konsumtionen av 𝐴.Frånvaron av back-blandning i PFR säkerställer att varje differentialsegment uppför sig som en liten satsreaktor, vilket förenklar den matematiska modelleringen av reaktionen.För att hitta koncentrationsprofilen för 𝐴 längs reaktorn är differentiell ekvation integrerad med gränsvillkoret att den initiala koncentrationen vid inloppet är känt:

Lösningen på differentiell ekvation är:

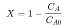
Denna ekvation beskriver hur koncentrationen av 𝐴 minskar exponentiellt när den rör sig genom reaktorn.Hastigheten för detta exponentiella förfall beror på reaktionshastighetskonstanten (𝑘) och fluidhastigheten (𝑢).Detta förhållande visar hur reaktorkonstruktionsparametrar såsom längd (𝐿), flödeshastighet och reaktionshastighetskonstant påverkar koncentrationsprofilen.Till exempel ger det mer uppehållstid att öka reaktorlängden eller minska flödeshastigheten, vilket gör att mer 𝐴 kan konvertera till 𝐵.Omvänt minskar en högre flödeshastighet kontakttiden, vilket resulterar i lägre omvandling.Den övergripande omvandlingseffektiviteten (𝑋) för reaktant 𝐴 definieras som fraktionen av 𝐴 som reagerar längs reaktorns längd:

Där:
𝐿 = Reaktorns totala längd
𝑋 = Omvandlingseffektivitet för 𝐴
Denna ekvation visar att ökning av reaktorlängden (𝐿) eller hastighetskonstanten (𝑘) förbättrar omvandlingseffektiviteten, medan en högre vätskehastighet (𝑢) minskar den.Denna formel illustrerar också fördelen med pluggflödesmönstret: den enhetliga uppehållstiden säkerställer att alla reaktantproppar upplever samma reaktionsförhållanden, vilket leder till förutsägbara och konsekventa omvandlingshastigheter.
En andra ordning irreversibel reaktion i en plug-flödesreaktor (PFR) involverar en reaktionshastighet som beror på kvadratet i reaktantens koncentration.Denna typ av reaktion är vanligt i processer som polymerisation och dimerisering.Att förstå hur PFR hanterar dessa reaktioner hjälper till att utforma effektiva reaktorer med höga omvandlingshastigheter och selektivitet.I en PFR involverar en typisk andra ordning irreversibel reaktion två molekyler av reaktant 𝐴 kombination för att bilda en produkt 𝐵, representerad som:
2A → B
Denna reaktion är irreversibel, vilket innebär att när 𝐴 konverteras till 𝐵, återgår den inte.PFR: s kontinuerliga, enhetliga flödesmönster förbättrar denna omvandling genom att upprätthålla konsekvent hastighet och uppehållstid under hela reaktorn.Denna design säkerställer att varje plugg av reaktant upplever samma reaktionsbetingelser och maximerar omvandlingseffektiviteten.Den styrande ekvationen för denna reaktion härrör från en massbalans på ett litet segment av reaktorn, förutsatt att ingen back-blandning eller radiell spridning:

Där:
𝐶𝐴 = Koncentration av reaktant 𝐴 vid position 𝑥
𝑥 = Position längs reaktorns längd
𝑘 = Hastighetskonstant, vilket indikerar reaktionshastigheten
𝑢 = Konstant vätskehastighet
Faktorn på två står för stökiometri, där två mol 𝐴 konsumeras för att bilda en mol 𝐵.
Denna ekvation visar att förändringshastigheten för 𝐴: s koncentration är proportionell mot kvadratet för dess nuvarande koncentration, ett kännetecken för andra ordningens kinetik.Detta leder till en snabb minskning av 𝐴 när reaktionen fortskrider, särskilt vid höga koncentrationer.För att hitta koncentrationsprofilen för 𝐴 längs reaktorn är differentiell ekvation integrerad från inloppet, där den initiala koncentrationen är 𝐶𝐴0, till vilken punkt som helst 𝑥 längs reaktorn:

Denna lösning visar att 𝐴: s koncentration minskar hyperboliskt, till skillnad från det exponentiella förfallet som ses i första ordningens reaktioner.Hastigheten för denna nedgång beror på reaktionshastighetskonstanten (𝑘), reaktorlängden (𝑥) och fluidhastigheten (𝑢).Detta förhållande betonar påverkan av operativa parametrar på reaktantkoncentration och total omvandlingseffektivitet.Till exempel:
• Att öka reaktorlängden (𝑥) eller hastighetskonstanten (𝑘) förbättrar omvandlingen genom att ge mer tid eller påskynda reaktionen.
• Högre vätskehastighet (𝑢) minskar uppehållstiden, vilket leder till lägre omvandling.
Denna modell hjälper till att förutsäga hur justeringar i reaktorkonstruktion och driftsförhållanden påverkar produktutbytet och selektiviteten.
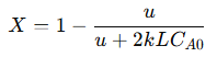
Den övergripande omvandlingseffektiviteten (𝑋) för reaktant 𝐴 beräknas som fraktionen av 𝐴 förvandlas till produkt 𝐵 längs reaktorns längd:

Att ersätta den integrerade koncentrationsprofilen ger:

Där:
𝐿 = Reaktorns totala längd
𝐶𝐴0 = Initial koncentration av 𝐴
𝑋 = Omvandlingseffektivitet för 𝐴
Denna ekvation visar att konverteringseffektiviteten ökar med:
• Längre reaktorlängd (𝐿), vilket ökar uppehållstiden.
• Högre initial koncentration (𝐶𝐴0), som ökar reaktionshastigheten.
• Större hastighetskonstant (𝑘), som påskyndar reaktionen.
Omvänt minskar högre vätskehastighet (𝑢 𝑢) omvandling genom att minska tidsreaktanterna i reaktorn.Dessa insikter gör det möjligt att optimera reaktorprestanda genom att justera flödeshastigheter, reaktorlängd och driftstemperaturer (som påverkar 𝑘).
Förståelse av andra ordningens irreversibelt reaktionsbeteende är bra för att utforma plug-flödesreaktorer (PFR) för att maximera produktutbytet samtidigt som reaktantavfallet minimeras.Eftersom reaktionshastigheter i andra ordningens kinetik beror på koncentrationen av två reaktanter kan optimering av reaktorparametrar påverka den totala omvandlingseffektiviteten.En nyckelfaktor som påverkar omvandlingen är reaktorlängden genom att utöka längden på PFR, reaktanter har en längre uppehållstid, vilket gör att reaktionen kan fortsätta ytterligare mot slutförandet innan systemet lämnar systemet.På liknande sätt ökar flödeshastigheten uppehållstiden, vilket ger mer möjlighet för reaktanter att interagera och bilda önskade produkter.En annan parameter är temperatur, som direkt påverkar reaktionshastighetskonstanten (𝑘).Att öka temperaturen höjer hastighetskonstanten och påskyndar därmed reaktionen och förbättrar omvandlingseffektiviteten.Du måste emellertid noggrant balansera temperaturjusteringar för att undvika oönskade sidoreaktioner eller termisk nedbrytning av känsliga föreningar.Dessa principer möjliggör exakt kontroll över reaktionsbetingelser, vilket gör det möjligt för branscher att finjustera PFR-verksamheten för specifika produktionsmål.
Förmågan att kontrollera andra ordningens reaktionskinetik med precision är fördelaktig i branscher där produktkvalitet, konsistens och effektivitet är stor.I polymerisationsprocesser säkerställer till exempel att upprätthålla optimala monomerkoncentrationer i hela reaktorn att polymerer uppnår konsekventa molekylviktsfördelningar och önskvärda fysiska egenskaper.Till och med små variationer i koncentrations- eller reaktionsbetingelser kan leda till inkonsekvenser i polymerstrukturen, vilket påverkar materiell styrka, elasticitet eller hållbarhet.På samma sätt, i fin kemisk och farmaceutisk tillverkning, är reaktionsselektivitet och renhet stora för att säkerställa produktens effektivitet och säkerhet.
Att analysera massbalansen i en pluggflödesreaktor (PFR) under stabila tillstånd är bra för att förstå dess effektivitet och optimera prestanda över olika kemiska processer.I en PFR flyter reaktanter kontinuerligt och enhetligt från inloppet till utloppet utan back-blandning eller radiell dispersion.Detta konsekventa flödesmönster möjliggör exakt kontroll över reaktantkoncentrationer och reaktionshastigheter, vilket gör PFR: er mycket effektiva för komplexa kemiska reaktioner.
I en pluggflödesreaktor (PFR) följer rörelsen av reaktanter en stadig, enkelriktad väg, vilket säkerställer att varje enskilt fluidelement behåller sin kemiska identitet och reaktionshistoria när den fortskrider genom reaktorn.Till skillnad från reaktorer som främjar blandning, såsom kontinuerliga omrörda tankreaktorer (CSTR), fungerar en PFR under principen att varje segment av vätska förblir distinkt, vilket förhindrar lateral blandning med angränsande segment.Denna karakteristik innebär att reaktantkoncentrationer och reaktionsöversikt varierar kontinuerligt längs reaktorns längd, snarare än att vara i genomsnitt genom turbulent blandning.På grund av denna plug-liknande rörelse genomgår reaktanter reaktion under väldefinierade förhållanden vid varje punkt i reaktorn, vilket möjliggör en mer kontrollerad och förutsägbar transformation från reaktanter till produkter.De resulterande koncentrationen och temperaturgradienterna längs reaktorns längd spelar en roll för att styra reaktionskinetiken och den totala effektiviteten i processen.
Den enhetliga och förutsägbara naturen av flödet i en PFR erbjuder distinkta fördelar, särskilt för reaktioner som är mycket känsliga för fluktuationer i koncentration eller temperatur.Genom att eliminera back-blandning säkerställer reaktorn att uppehållstiden för varje reaktantmolekyl kontrolleras exakt, vilket möjliggör mer exakta förutsägelser om reaktionens framsteg och produktbildning.Denna funktion är användbar för att optimera produktens selektivitet, eftersom vissa reaktioner kan gynna specifika förhållanden som kan hållas noggrant under reaktorns längd.Frånvaron av intern blandning förenklar matematisk modellering, vilket gör det lättare att utveckla kinetiska modeller och designreaktorer för maximal effektivitet.Denna strömlinjeformade strategi för reaktionsteknik förbättrar inte bara prestanda utan minskar också komplexiteten i samband med uppskalningsprocesser för industriella tillämpningar.
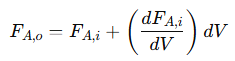
Massbalansekvationen för en PFR härleds genom att analysera en liten differentiell volym (𝑑𝑉) av reaktorn.Detta tillvägagångssätt beaktar flödet av reaktant 𝐴 in och ut ur denna volym, tillsammans med den hastighet med vilken den reagerar.Under förhållanden med stabilitet finns det ingen ansamling av 𝐴 inom 𝑑𝑉, vilket innebär att inflödeshastigheten är lika med utflödeshastigheten justerad för det belopp som konsumeras av reaktionen.Den allmänna massbalansekvationen är:

Där:
𝐹𝐴, 𝑖 = Molarflödeshastighet för reaktant 𝐴 Ange differentialvolymen
𝐹𝐴, 𝑜 = Molarflödeshastighet för 𝐴 lämnar differentiell volym
𝑟′𝐴 = Reaktionshastighet per enhetsvolym för 𝐴
𝑑𝑉 = Differentialvolymelement
Denna ekvation visar att minskningen av flödeshastigheten för 𝐴 beror på dess konsumtion inom volymen 𝑑𝑉.Eftersom det inte finns någon back-blandning, behåller varje reaktantplugg sin koncentration när den rör sig framåt och bibehåller pluggflödesmönstret.
För att relatera utloppets molflödeshastighet till inloppsflödeshastigheten används kontinuitetsekvationen:

Att ersätta detta i massbalansekvationen ger:

Detta visar att förändringen i molflödeshastigheten på 𝐴 är direkt proportionell mot reaktionshastigheten.Det negativa tecknet indikerar konsumtionen av 𝐴 eftersom den omvandlas till produkter.Detta förhållande belyser hur reaktionshastigheten påverkar koncentrationsprofilen för 𝐴 längs reaktorns längd.Integrering av denna differentiella ekvation längs reaktorns längd ger det allmänna uttrycket för reaktionshastigheten för 𝐴:

Detta visar att reaktionshastigheten är proportionell mot förändringen i molflödeshastigheten för 𝐴 längs reaktorn.Det negativa tecknet återspeglar minskningen av 𝐴 när den reagerar för att bilda produkter.Denna integrerade form av massbalansekvationen gör det möjligt att beräkna koncentrationsprofilen för 𝐴 i hela reaktorn, vilket möjliggör exakta förutsägelser om produktutbyten och total omvandlingseffektivitet.
För mer komplexa reaktioner, såsom en bimolekylär reaktion 𝐴+𝐵 → 𝐶+𝐷, kan massbalansekvationerna utvidgas till att redovisa alla reaktanter och produkter.För varje art är differentiella ekvationer:
• För reaktant 𝐴:

• För reaktant 𝐵:

• För produkt 𝐶:

• För produkt 𝐷:

Negativa tecken indikerar konsumtion av reaktanter, medan positiva tecken anger bildning av produkter.Dessa ekvationer ger en fullständig massbalans för komplexa reaktionsnätverk, vilket möjliggör exakt modellering av reaktionskinetik och produktdistribution.
I en pluggflödesreaktor (PFR) förenklar ingen volymetrisk flödesvariation den matematiska modelleringen av kemiska reaktioner.Detta antagande är användbart för gasfasreaktioner under konstant temperatur och tryck (isotermiska och isobariska förhållanden) och för vätskefasreaktioner där vätsketätheten förblir konstant.Genom att upprätthålla en stadig flödeshastighet i hela reaktorn blir beräkningar för reaktionskinetik, omvandlingseffektivitet och produktdistribution mer enkel och pålitlig.
Förutsatt att den volymetriska flödeshastigheten (𝑄) förblir konstant i hela PFR förenklar analysen av kemiska reaktioner.Detta konstant flöde säkerställer att fluidhastigheten är enhetlig längs hela reaktorlängden, vilket leder till konsekventa uppehållstider för alla vätskelement.Denna enhetlighet är bra för att bibehålla pluggflödesmönstret, där varje vätskesegment rör sig framåt som en kolv, utan back-blandning eller radiell spridning.
Detta stadiga flödesmönster säkerställer att förändringar i reaktantkoncentrationer endast inträffar i axiell riktning och effektivt driver den kemiska reaktionen framåt.Det bevarar också den kemiska identiteten för varje vätskesegment, vilket möjliggör exakt kontroll över reaktionsförhållanden och kinetik.Detta är fördelaktigt för reaktioner som kräver korrekt uppehållstid och temperaturkontroll.Under antagandet av konstant volymetriskt flöde förblir flödeshastigheten när som helst i reaktorn densamma från inloppet till utloppet:
Q i = qo = q
Detta stabilitetstillstånd innebär att flödesparametrarna är konsekventa under reaktorns längd, vilket förenklar massbalansekvationen.Det gör att analysen kan fokusera på molära flödeshastigheter och koncentrationsförändringar av reaktanter och produkter utan att beakta variationer i hastighet eller volym.Den molära flödeshastigheten för en reaktant 𝐴 vid valfri position 𝑥 längs reaktorn ges av:

Var:
𝐹𝐴, 𝑖 = Molnflödeshastighet för 𝐴 som kommer in i differentiellt volymelement 𝑑𝑉
[A] i = Koncentration av 𝐴 vid position 𝑥
𝑄 = Konstant volymetrisk flödeshastighet
Denna ekvation kopplar den molära flödeshastigheten för reaktanten 𝐴 till dess koncentration och den volymetriska flödeshastigheten.Eftersom 𝑄 är konstant är förändringar i 𝐹𝐴, 𝑖 direkt relaterade till förändringar i [𝐴] 𝑖.Reaktionshastigheten för reaktant 𝐴, betecknad med 𝑟′𝐴, beskriver hastigheten med vilken 𝐴 konsumeras längs reaktorns längd.Det beräknas med hjälp av den differentiella förändringen i molflödeshastigheten:

Det negativa tecknet indikerar konsumtionen av reaktant 𝐴 när den förvandlas till produkter.Detta förhållande visar att reaktionshastigheten är direkt proportionell mot koncentrationsgradienten längs reaktorn.Eftersom 𝑄 är konstant förändras koncentrationen endast i den axiella riktningen, vilket säkerställer att reaktionen fortsätter smidigt från inloppet till utloppet.Detta enkelriktade flödesmönster hjälper till att upprätthålla konsekventa reaktionsförhållanden, vilket leder till förutsägbara produktutbyten och hög omvandlingseffektivitet.Genom att integrera denna differentiella ekvation längs reaktorns längd är det möjligt att beräkna hur koncentrationen av 𝐴 ändras från inloppet till utloppet:

Denna integration ger en koncentrationsprofil av 𝐴 längs reaktorn och avslöjar hur mycket reaktant som konsumeras och hur mycket produkt som bildas.Det visar också effekterna av reaktorkonstruktionsparametrar såsom längd, flödeshastighet och reaktionshastighetskonstant på omvandlingseffektivitet och produktdistribution.Att hålla matematiska modeller enkla betyder färre variabler, underlättar beräkningarna och simuleringarna snabbare.Exakta koncentrationsprognoser hjälper designreaktorer för maximal effektivitet och selektivitet, vilket säkerställer optimal prestanda.Konsekventa uppehållstider och flödeshastigheter möjliggör exakt processkontroll, vilket leder till tillförlitlig produktkvalitet.Sammantaget förenklar ingen volymetrisk flödesvariation i PFR: er kemisk reaktionsmodellering samtidigt som man upprätthåller noggrannhet, vilket gör det till ett viktigt verktyg för effektiv reaktorkonstruktion och drift.
Plugflödesreaktorer (PFR) används ofta i kemisk bearbetning på grund av deras unika design, vilket säkerställer kontinuerlig och enhetlig rörelse av reaktanter.Denna design möjliggör exakt kontroll över reaktionskinetik och uppehållstider, vilket gör PFR: er mycket effektiva för många kemiska processer.De har emellertid också begränsningar som måste beaktas beroende på ansökan.Det här avsnittet undersöker fördelar och nackdelar med PFR.
Plugflödesreaktorer (PFR) är kända för sin höga omvandlingseffektivitet, vilket är resultatet av deras unika flödesegenskaper.Till skillnad från andra reaktortyper säkerställer PFR: er att reaktanter rör sig i en enda riktning utan någon back-blandning.Detta innebär att när ett fluidelement kommer in i reaktorn fortsätter det att flyta framåt utan att blanda med andra delar av vätskan.På grund av denna kontrollerade rörelse förblir den kemiska sammansättningen vid varje given punkt i reaktorn distinkt och förutsägbar.En viktig fördel med detta stadiga flöde är att det minimerar bostadstidsfördelningen, vilket innebär att alla reaktantpartiklar tillbringar lika mycket tid i reaktorn.Som ett resultat sker reaktionen enhetligt under hela reaktorns längd, förbättrar effektiviteten och gör PFR: er användbara för processer som kräver strikta kontroll över reaktionsbetingelserna.
Ett annat skäl till den höga omvandlingseffektiviteten för PFR är deras förmåga att upprätthålla en stabil koncentrationsgradient i hela reaktorn.Eftersom reaktanter kontinuerligt konsumeras när de fortskrider genom reaktorn, minskar koncentrationen gradvis längs flödesvägen, vilket kan hjälpa till att driva reaktioner till slutförande mer effektivt.Detta gör PFR: er mer effektiva än kontinuerliga omrörda tankreaktorer (CSTR), där konstant blandning kan leda till variationer i koncentration som kan minska reaktionseffektiviteten.För reaktioner som är mycket känsliga för koncentrationsförändringar eller kräver exakt tidpunkt erbjuder PFR: er en fördel.Genom att säkerställa en enhetlig reaktionsmiljö hjälper de till att optimera reaktionshastigheter, minimera oönskade biprodukter och maximera produktutbytet.
Det strukturerade flödet i pluggflödesreaktorer (PFR) säkerställer att reaktanter konsekvent utsätts för samma reaktionsbetingelser som de rör sig genom reaktorn.Denna stadiga och enhetliga exponering spelar en roll för att minimera bildningen av oönskade biprodukter, vilket kan påverka reaktionens effektivitet negativt.Genom att minska dessa oönskade sidoreaktioner hjälper PFR: er att förbättra reaktionens övergripande selektivitet, vilket gör dem användbara för kemiska processer som kräver hög precision.Detta är viktigt i branscher där även små variationer i kemisk sammansättning kan leda till skillnader i produktprestanda, till exempel i tillverkning av specialkemikalier och läkemedelsprodukter.Eftersom varje reaktantplugg rör sig med samma hastighet och upplever identiska reaktionsbetingelser, fortsätter reaktionen på ett kontrollerat och förutsägbart sätt.Denna nivå av konsistens säkerställer att den önskade kemiska transformationen sker som avsett, vilket resulterar i ett högre utbyte av målprodukten samtidigt som behovet av ytterligare reningssteg minimeras.
PFR: s förmåga att tillhandahålla en enhetlig reaktionsmiljö bidrar direkt till förbättrad produktkonsistens och förbättrad reaktionseffektivitet.Eftersom varje del av reaktantströmmen följer samma väg och genomgår samma reaktionsförhållanden uppvisar slutprodukten tillförlitliga och repeterbara egenskaper.Detta är fördelaktigt för processer där att upprätthålla strikt kvalitetskontroll är viktigt, eftersom till och med små variationer i temperatur, tryck eller reaktantkoncentration kan förändra det slutliga resultatet.Den höga graden av selektivitet i PFR: er gör dem idealiska för reaktioner som involverar känsliga mellanarter, där exakt kontroll över reaktionskinetik är nödvändig.Eftersom PFR: er arbetar med ett kontinuerligt flöde kan de enkelt skalas upp för industriella tillämpningar utan att kompromissa med reaktionseffektiviteten.Denna skalbarhet, i kombination med deras förmåga att förbättra reaktionsselektiviteten, gör PFR: er till ett föredraget val för många kemiska produktionsprocesser, vilket säkerställer en konsekvent utgång av hög kvalitet i olika applikationer.
Plugflödesreaktorer (PFR) fungerar på ett kontinuerligt sätt, vilket innebär att de inte behöver stoppas och startas om ofta.Denna kontinuerliga operation minskar driftstopp, vilket möjliggör högre produktionshastigheter och förbättrad effektivitet vid kemisk bearbetning.Eftersom PFR: er inte kräver mekanisk agitation konsumerar de mindre energi jämfört med andra reaktortyper som förlitar sig på rörliga delar för att blanda reaktanter.Lägre energiförbrukning innebär minskade driftskostnader, vilket gör PFR till ett kostnadseffektivt val för storskalig produktion.Deras förmåga att upprätthålla drift av stabilitet säkerställer att kemiska reaktioner fortsätter på ett förutsägbart sätt, vilket bidrar till processstabilitet.Frånvaron av rörliga komponenter minskar också underhållsbehov, vilket minimerar oväntade nedbrytningar och förbättrar den totala tillförlitligheten.På grund av dessa fördelar används PFR: er i stor utsträckning i branscher som kräver konsekvent kemisk bearbetning med hög kapacitet samtidigt som energianvändningen och driftskostnaderna håller energikostnaderna.
En annan viktig fördel med PFRS är deras lätthet att skala upp från laboratorieexperiment till full industriell produktion.Eftersom reaktionsbetingelserna förblir enhetliga längs reaktorns hela längd kan ökande produktionskapacitet uppnås genom att helt enkelt förlänga reaktorns längd eller använda flera parallella rör.Denna skalbarhet säkerställer att kemiska tillverkare kan utöka sin verksamhet utan större modifieringar av reaktordesignen.Det förutsägbara flödesmönstret inom en PFR gör det också enklare att kontrollera reaktionsvariabler, vilket säkerställer konsekvent produktkvalitet över olika produktionsskalor.Eftersom varje del av reaktanterna rör sig genom reaktorn utan back-blandning förblir reaktionsprocessen stabil och enhetlig.Denna funktion förenklar processoptimering och möjliggör bättre kontroll över reaktionseffektiviteten.Som ett resultat väljer branscher som kräver exakt kontroll över kemiska reaktioner ofta PFR för deras förmåga att upprätthålla konsistens och tillförlitlighet på både små och stora skalor.
Plugflödesdesignen hjälper till att överföra värme och massa effektivt, vilket håller reaktioner stabila, särskilt i processer som frigör eller absorberar mycket värme.Eftersom det inte finns någon back-blandning sprids värmen jämnt genom reaktorn och förhindrar områden som är för varma eller för kalla.Denna till och med värmefördelning håller reaktionshastigheter stabil och upprätthåller god produktkvalitet.Om värmen var ojämn kan det orsaka problem som långsamma reaktioner eller oönskade sidoprodukter.Genom att hålla temperaturen stabil förbättrar plugflödesdesignen också säkerheten, vilket minskar risken för farlig överhettning i reaktioner som frigör mycket värme.Eftersom reaktionen förblir under kontroll går den mer smidigt och effektivt, vilket leder till bättre resultat.Denna design säkerställer också att reaktionen följer en stadig och förutsägbar väg, vilket förbättrar effektiviteten och håller produkten ren.När reaktanterna rör sig genom reaktorn går de alla igenom samma förhållanden utan att blanda med andra delar.Detta möjliggör bättre kontroll över processen och säkerställer att reaktionen inträffar som förväntat.På grund av detta görs färre oönskade biprodukter och mer av den önskade produkten.Plugflödesdesignens förmåga att överföra värme väl, upprätthålla stabila temperaturer och hålla reaktioner kontrollerade gör det mycket användbart för industriella processer där kvalitet och effektivitet är viktiga.
Plugflödesreaktorer (PFR) är mycket användbara eftersom de kan hantera många olika typer av kemiska reaktioner.De fungerar bra för snabba reaktioner, irreversibla reaktioner och gasfasreaktioner eftersom reaktanterna rör sig smidigt genom reaktorn i ett jämnt flöde.PFR: er är också bra för reaktioner som använder fasta katalysatorer, eftersom jämnt flöde ser till att alla reaktanter får samma exponering för katalysatorn.Detta hjälper kemiska reaktioner att ske mer effektivt och ger mer konsekventa resultat.På grund av dessa fördelar används PFR: er allmänt i branscher som petrokemikalier och läkemedel, där exakt kontroll över reaktioner behövs för att göra högkvalitativa produkter.Deras förmåga att hålla reaktioner stabila och effektiva gör dem till ett viktigt verktyg för många kemiska processer.PFR: er är också mycket hjälpsamma för att göra polymerer eftersom de håller monomerkoncentrationer stabila under hela reaktionen.Detta är viktigt för att producera polymerer med enhetliga egenskaper, såsom konsekvent styrka och hållbarhet.Det släta flödet i en PFR minskar variationer i koncentration och reaktionstid, vilket leder till en mer tillförlitlig slutprodukt.Eftersom PFR: er fungerar kontinuerligt kan de också spara tid och förbättra effektiviteten jämfört med batchreaktorer.Deras förmåga att hantera olika reaktioner med noggrannhet och tillförlitlighet gör dem värdefulla i många branscher.Oavsett om det används för katalys, gasfasreaktioner eller polymerproduktion, erbjuder PFR ett pålitligt och effektivt sätt att kontrollera kemiska reaktioner och upprätthålla produktkvaliteten.
Plugflödesreaktorer (PFR) fungerar bäst för kemiska reaktioner som rör sig i en riktning och inte behöver vända eller nå balans.De är mest effektiva för irreversibla reaktioner, där reaktanter förvandlas till produkter utan att gå tillbaka.Eftersom PFR har ett jämnt flöde, går reaktanterna framåt utan att blanda tillbaka med produkterna.Denna installation är inte idealisk för reaktioner som behöver nå jämvikt eftersom bristen på blandning förhindrar reaktionen från att justeras längs vägen.I dessa fall kanske en PFR inte tillåter reaktionen att nå sin fulla potential, vilket gör den mindre effektiv för vissa kemiska processer.Vissa reaktioner kräver mer tid och blandning för att få bästa resultat, men PFR ger inte denna flexibilitet.På grund av detta kanske vissa reaktioner inte fullständigt komplett, vilket leder till lägre effektivitet.För reaktioner som behöver bättre blandning och längre reaktionstider kan en kontinuerlig omrörad tankreaktor (CSTR) eller en annan typ av reaktor fungera bättre.CSTR: er rör ständigt innehållet, vilket säkerställer att även blandning och tillåter reaktionen att röra sig i båda riktningarna om det behövs.Detta gör dem användbara för reaktioner som kräver noggrann kontroll för att få bästa utbyte.Även om PFR är bra för vissa reaktioner, kanske de inte är det bästa valet när en reaktion behöver mer tid att balansera eller kräver konstant blandning.Att välja rätt reaktor beror på vilken typ av reaktion och önskat resultat.
Plugflödesreaktorer (PFR) behöver ett stabilt och välblandat foder för att hålla reaktionshastigheter och produktkvalitet konsekvent.Om fodret förändras i koncentration, temperatur eller tryck kan det påverka hur väl reaktorn fungerar.Ojämn foderkvalitet kan leda till inkonsekventa omvandlingshastigheter och variationer i slutprodukten.I branscher där exakt produktkvalitet är viktig kan även små förändringar orsaka problem som oönskade sidoreaktioner eller lägre effektivitet.För att undvika dessa problem är det viktigt att hålla matningen stabilt och korrekt kontrollerat.Ett välreglerat foder säkerställer att reaktorn fungerar smidigt och ger tillförlitliga resultat.PFR: er är mycket känsliga för förändringar i foderförhållanden eftersom varje variation direkt påverkar hur reaktionen inträffar i reaktorn.Eftersom reaktioner äger rum när foderen rör sig igenom kan alla förändringar i dess egenskaper leda till ojämn bearbetning och oförutsägbara resultat.För att förhindra detta måste operatörerna noggrant övervaka och kontrollera fodret.Temperaturförändringar, tryckförändringar eller föroreningar kan störa reaktionen och minska effektiviteten.Att använda avancerade övervakningssystem hjälper till att upprätthålla stabila förhållanden, vilket säkerställer bättre prestanda, högre produktkvalitet och färre produktionsproblem.
I Packed-Bed Plug-flödesreaktorer (PFR) hjälper fasta katalysatorer eller förpackningsmaterial att driva kemiska reaktioner.Kanalisering kan emellertid uppstå när flödet av reaktanter inte sprids jämnt genom den packade bädden.Istället för att flyta enhetligt kan reaktanterna ta vissa vägar och hoppa över delar av katalysatorn.Detta orsakar en ojämn reaktion, där vissa områden fungerar effektivt medan andra inte gör det.Som ett resultat passerar vissa reaktanter genom reaktorn utan att helt reagera, vilket minskar den totala effektiviteten.Eftersom PFR: er behöver till och med flöde för bästa prestanda, kan kanalisering vara ett stort problem, särskilt i branscher som kräver höga konverteringsfrekvenser.Kanalisering leder till ojämna reaktionshastigheter och lägre total effektivitet.När delar av katalysatorbädden kringgår, omvandlas färre reaktanter till produkter, vilket leder till bortkastade material och lägre utbyten.För att förhindra detta måste du utforma reaktorer noggrant.De kan använda enhetliga förpackningar, flödesdistributörer eller speciella strukturer för att sprida flödet jämnt.Korrekt design hjälper till att minimera kanalisering, göra reaktorn mer effektiv och förbättra kemisk produktion.
Även om plugflödesreaktorer (PFR) har en enkel design, kan det vara ganska svårt att utforma dem för storskalig användning.När de skalar upp en PFR måste de se till att materialflödet förblir smidigt och att reaktionsförhållandena förblir detsamma i hela reaktorn.Detta kräver noggranna beräkningar för att förstå hur vätskor rör sig, hur värmen sprids och hur snabba reaktioner händer inuti systemet.Dessa faktorer blir ännu viktigare i stora industriella miljöer, där små förändringar i flöde eller temperatur kan påverka effektiviteten och produktkvaliteten.Om en PFR inte är korrekt skalad, kanske den inte fungerar lika bra som förväntat, vilket leder till produktionsproblem.För att skala upp en PFR gör det ofta längre eller ställer in flera reaktorer sida vid sida.Att helt enkelt öka storleken räcker dock inte.De måste noggrant justera flödeshastigheterna för att säkerställa att material rör sig med rätt hastighet för att reaktionen ska slutföras.Tryckförändringar inuti reaktorn måste också kontrolleras för att förhindra flödesproblem.En annan fråga är värmeöverföring eftersom större reaktorer kan kämpa för att hålla en jämn temperatur, vilket kan få delar av reaktorn att överhettas eller svalna för mycket.Många använder avancerade metoder för att hantera dessa faktorer så att den större reaktorn fungerar lika bra som den ursprungliga mindre versionen.
Plugflödesreaktorer (PFR) kan utveckla fouling, vilket händer när fasta material byggs upp i reaktorn.Dessa avlagringar kan komma från kvarvarande reaktanter, biprodukter eller föroreningar i foder.Med tiden kan fouling blockera flödet av material och göra värmeöverföring mindre effektiv.Eftersom temperaturkontroll är viktig för reaktioner kan detta bromsa eller ändra reaktionsprocessen, vilket minskar effektiviteten.För att förhindra detta behövs regelbunden rengöring, men detta kan vara kostsamt och kan kräva att man stoppar eller bromsar verksamheten.Om fouling inte hanteras kan det också orsaka långvariga skador på reaktordelar, vilket kan leda till ännu dyrare reparationer.Förutom fouling kan PFR också möta blockeringar eller störningar i flödet.Dessa reaktorer behöver en stadig rörelse av material, så alla blockering kan orsaka problem.Blockeringar kan komma från fasta partiklar, utrustningsproblem eller förändringar i foderkompositionen.När detta händer kan trycket förändras, och reaktionen kanske inte fullbordar ordentligt, vilket leder till lägre produktkvalitet.Ojämnt flöde kan också påverka temperatur- och koncentrationsnivåerna i reaktorn, vilket gör processen mindre effektiv.För att undvika dessa problem behövs konstant övervakning.Många system använder sensorer och kontroller för att spåra prestanda, men dessa bidrar till driftskostnader.Trots dessa utmaningar hjälper regelbundet underhåll och noggrann övervakning att hålla PFR: er smidigt och effektivt.
Plugflödesreaktorer (PFR) används ofta i kemiteknik på grund av deras effektivitet och mångsidighet.Deras design säkerställer enkelriktad flöde och konsekventa uppehållstider, vilket möjliggör exakt kontroll över reaktionskinetik och produktdistribution.Detta gör dem lämpliga för olika kemiska reaktioner, inklusive gasfas, vätskefas, heterogena och homogena system.Deras skalbarhet och kostnadseffektivitet är värdefull i storskalig industriproduktion.
Plugflödesreaktorer (PFR) är viktiga för att göra stora mängder kemikalier som svavelsyra, etenoxid och metanol.Deras design gör det möjligt för kemikalier att flyta kontinuerligt, vilket påskyndar reaktioner och ökar produktionen.Detta är användbart för industrier som måste göra höga volymer kemikalier snabbt.PFR: er ger stabila reaktionsförhållanden, vilket säkerställer att slutprodukten är ren och konsekvent i kvalitet.Genom att hålla reaktionshastigheter stabila och minska oönskade biprodukter hjälper PFR: er att maximera produktionseffektiviteten.Denna tillförlitlighet är utmärkt för industrier som är beroende av exakta kemiska processer för att producera stora mängder effektivt och till en lägre kostnad.PFR: er gör också kemisk tillverkning mer effektiv genom att förhindra back-blandning och hålla reaktioner enhetliga.Deras stadiga flöde möjliggör bättre kontroll över reaktionsbetingelser, vilket minskar behovet av extra reningssteg.Detta sänker produktionskostnaderna och minskar avfallet, vilket gör verksamheten mer hållbar.På grund av deras förmåga att producera kemikalier snabbt, konsekvent och med minimalt avfall används PFR: er allmänt i industrier som kräver kemisk produktion med hög volym.Deras design gör dem till ett föredraget val för företag som vill förbättra effektiviteten och produktkvaliteten samtidigt som kostnaderna håller kostnaderna under kontroll.
I den petrokemiska industrin används plugflödesreaktorer (PFR) ofta för förädlingsprocesser såsom katalytisk sprickbildning och hydrering.Deras exakta kontroll över reaktionsbetingelser möjliggör effektiv produktion av värdefulla kemikalier som eten, propylen och butadien, som används för att tillverka plast och syntetiska material.Eftersom PFRS bearbetar höga volymer kolväten kontinuerligt, hjälper de raffinaderier att fungera smidigt och upprätthålla produktkvaliteten.Det enkelriktade flödet i PFR: er förhindrar back-blandning, bevarar reaktanternas renhet och förbättrar den totala effektiviteten.En annan fördel med PFR: er i petrokemisk bearbetning är deras förmåga att hantera värme effektivt, vilket är viktigt för hög temperaturförädlingsreaktioner.Genom att bibehålla jämn temperatur och tryck hjälper PFR: er att maximera avkastningen och samtidigt minska oönskade biprodukter.Deras design gör dem också anpassningsbara för både storskalig raffineringsverksamhet och specialiserad petrokemisk produktion.På grund av deras effektivitet, tillförlitlighet och förmåga att bearbeta stora mängder material utan avbrott spelar PFR: er en roll i den petrokemiska industrin, vilket hjälper till att raffinaderierna möta den globala efterfrågan samtidigt som energieffektiviteten förbättras.
Plugflödesreaktorer (PFR) används ofta för att tillverka läkemedel, särskilt för produktion av aktiva farmaceutiska ingredienser (API: er).Deras förmåga att upprätthålla exakta reaktionsförhållanden säkerställer att läkemedel produceras med hög renhet och konsistens.Eftersom alla molekyler i en PFR upplever samma reaktionsförhållanden finns det färre variationer i produktkvaliteten.Detta är viktigt i läkemedelsindustrin, där strikta regler kräver konsekvent och högkvalitativ läkemedelsproduktion.Genom att minska bildningen av oönskade biprodukter hjälper PFR: er också att maximera avkastningen, vilket säkerställer att dyra råvaror används effektivt.PFR: er förbättrar också farmaceutisk tillverkning genom att möjliggöra kontinuerlig produktion istället för batchbehandling.Detta minskar variationen mellan olika produktionskörningar och ökar effektiviteten.Det stabila flödet av reaktanter i PFRS gör dem idealiska för att producera specialläkemedel som kräver exakt kontroll över reaktionstider och förhållanden.PFRS stöder moderna tillverkningstekniker som kontinuerlig flödeskemi, som hjälper företag att minska avfall och sänker kostnader medan de uppfyller strikta kvalitets- och säkerhetsstandarder.På grund av dessa fördelar är PFR: er en viktig teknik inom farmaceutisk produktion.
Plugflödesreaktorer (PFR) är mycket effektiva i katalytiska reaktioner, där reaktanter måste ha till och med kontakt med katalysatorer för bästa resultat.Deras stabila flöde säkerställer att reaktanter passerar enhetligt över katalytiska ytor och förbättrar reaktionshastigheten och effektiviteten.Detta är användbart i industriella processer som hydrering och oxidation, där exakt reaktionskontroll leder till högre utbyten.Eftersom PFR: er upprätthåller stabila förhållanden håller katalysatorerna längre, minskar kostnaderna och förbättrar den totala prestandan.Genom att förhindra ojämn blandning minskar PFR: er också oönskade sidoreaktioner, vilket gör dem till ett föredraget val för industrier som förlitar sig på katalytiska processer.PFR: er förbättrar också storskalig katalytisk produktion genom att optimera reaktionsförhållandena och minska avfallet.Deras design möjliggör bättre temperatur och tryckkontroll, vilket leder till effektivare användning av katalysatorer.Detta är viktigt för branscher som petrokemikalier, läkemedel och fina kemikalier, där även små förbättringar i effektiviteten kan påverka kostnader och produktkvalitet.På grund av deras förmåga att maximera katalysatorns prestanda samtidigt som avfall och energianvändning minimeras spelar PFR: er en roll i industrikatalytiska reaktioner.
Plugflödesreaktorer (PFR) är viktiga för miljöskydd, särskilt för att minska föroreningar och behandling av industriavfall.De används ofta vid rökgasbehandling, där skadliga utsläpp som svaveldioxid och kväveoxider omvandlas till säkrare föreningar.PFRS spelar också en roll i avloppsrening genom att dela upp farliga kemikalier till mindre skadliga biprodukter.Deras kontinuerliga flödesdesign säkerställer effektivt avlägsnande av föroreningar och hjälper industrier att uppfylla miljöreglerna och samtidigt minska driftskostnaderna.Förutom föroreningskontroll stöder PFR: s hållbarhet genom att förbättra energieffektiviteten och minska avfallet.Deras förmåga att bearbeta stora volymer industriellt avfall gör dem kontinuerligt till en pålitlig lösning för storskalig miljöledning.Genom att integrera PFR -teknik kan branscher minska sin miljöpåverkan samtidigt som man upprätthåller effektiv produktion.När oro över föroreningar och klimatförändringar växer blir PFR ett allt mer värdefullt verktyg för branscher som söker renare och mer hållbara tillverkningslösningar.
PFR: er kan hantera både heterogena och homogena reaktioner, vilket gör dem mycket mångsidiga i kemisk syntes.De är användbara för komplexa organiska synteser som kräver exakt termisk kontroll och materialhantering. I heterogena reaktioner säkerställer det enhetliga flödesmönstret till och med kontakten mellan reaktanter och fasta katalysatorer, maximerar omvandlingshastigheter och produktselektivitet.I homogena reaktioner upprätthåller de konsekventa uppehållstiderna stabila reaktionskinetik, vilket förbättrar utbytet och produktkvaliteten.Denna anpassningsförmåga gör PFR: er lämpliga för ett brett spektrum av kemiska processer, från grundläggande handelskemikalier till komplexa fina kemikalier och läkemedel.Deras exakta kontroll över reaktionsbetingelser möjliggör syntes av produkter med hög renhet med minimala biprodukter.
PFR: er används för att producera fina kemikalier, där hög renhet och specifika reaktionsvägar krävs.De ger exakt kontroll över temperatur, tryck och uppehållstid, vilket säkerställer konsekvent produktkvalitet och utbyte.Denna precision är stor vid tillverkning av färgämnen, dofter, specialbeläggningar och andra fina kemikalier som kräver strikta kvalitetsstandarder.PFR: er minimerar bildning av biprodukt och förbättrar reaktionsselektiviteten, optimerar råmaterialanvändningen och minskar avfallet.Deras skalbarhet gör det också möjligt för fina kemiska tillverkare att effektivt övergå från småskaliga laboratoriesyntes till fullskalig industriproduktion samtidigt som produktkonsistensen upprätthålls.
Plugflödesreaktorer är super användbara för att hantera kemiska reaktioner med precision.De arbetar genom att hålla allt att röra sig i en riktning, vilket hjälper till att få mer produkt av samma mängd kemikalier och håller saker säkra och konsekvent.De är särskilt bra för stora industriella jobb där du behöver göra mycket produkt utan att slösa bort material eller energi.Men de är inte perfekta för varje situation, ibland blandar de sig inte tillräckligt bra för vissa reaktioner, och de kan vara känsliga för förändringar i materialen de använder.Men totalt sett är PFR: er ett val för många tillverkningsprocesser eftersom de balanserar effektiviteten med effektivitet och håller industrierna igång smidigt och ekonomiskt.
Skicka en förfrågan, vi svarar omedelbart.
Principen för en pluggflödesreaktor (PFR) är att reaktanterna flödar genom ett cylindriskt rör på ett sätt där alla element i vätskan rör sig genom reaktorn med samma hastighet, utan blandning i flödesriktningen.Detta resulterar i varje segment av vätskan som kommer in och lämnar reaktorn vid olika tidpunkter, i huvudsak bibehåller en "plugg" av vätska som rör sig genom reaktorn.Koncentrationen och reaktionshastigheten varierar längs reaktorns längd men är konstant över alla tvärsnitt vinkelrätt mot flödet.
Ett viktigt inslag i en pluggflödesreaktor är dess förmåga att upprätthålla en stadig gradient av reaktantkoncentration från inloppet till utloppet.Detta säkerställer att reaktionen fortskrider som en serie oändligt små satsreaktorer i sekvensen längs rörets längd.Denna installation ger exakt kontroll över reaktionstider och förhållanden, vilket är idealiskt för reaktioner som är känsliga för uppehållstid.
Plugflödesreaktorer (PFR) används ofta i branscher där exakt kontroll över reaktionstider är bra för effektivitet och produktkvalitet.Vid kemisk produktion möjliggör PFR: er kontinuerligt skapande av kemikalier, vilket säkerställer enhetliga produktegenskaper genom stabila flödes- och reaktionsförhållanden.De är viktiga i petrokemiska processer, såsom kolvätekrackning för att producera eten och andra olefiner, där exakt tidpunkt och temperaturer är nyckeln till att maximera utbyten och minska biprodukter.I farmaceutisk tillverkning är PFR: er viktiga för läkemedelssyntes.Den exakta kontrollen de erbjuder över reaktionstider och förhållanden hjälper till att säkerställa att läkemedel är rena och ger tillräckligt, vilket är bäst för patientsäkerhet och läkemedelseffektivitet.PFR: er används också vid vattenbehandling, speciellt vid klorering av vatten, för att effektivt desinficera samtidigt som kemisk exponering kontrolleras och minimerar överflödigt användning.
En pluggflödeseklädnad fungerar enligt principen som liknar en PFR men är specifikt utformad för den anaeroba matsmältningen av organiska material.I denna installation matas organiskt avfall kontinuerligt i ena änden av en förseglad, horisontell reaktor.När avfallet rör sig genom reaktorn, smälter mikroorganismer det organiska materialet och producerar biogas (metan och koldioxid).Digesteren upprätthåller ett enhetligt flöde som förhindrar blandning och säkerställer att varje avfallssegment har en konsekvent kvarhållningstid, optimerar gasproduktionen och minimerar osmält avfall.
Att använda en plug -flödesreaktor (PFR) förbättrar kemiska processer genom att erbjuda hög omvandlingseffektivitet, vilket innebär att den använder alla reaktanter effektivt för att maximera produktionen.PFR: er upprätthåller exakt temperaturkontroll, ökar reaktionshastigheter och utbyten.De är skalbara, vilket möjliggör enkel övergång från småskaliga labbuppsättningar till storskalig industriproduktion utan att påverka processkvaliteten.PFR: er förhindrar back-blandning, behov av processer som kräver sekventiella reaktioner utan störningar.De påskyndar produktionen genom att hålla reaktanter rör sig kontinuerligt mot slutförande, minska den totala reaktionstiden och sänka kostnaderna.
på 2025/03/4
på 2025/03/3
på 8000/04/18 147757
på 2000/04/18 111934
på 1600/04/18 111349
på 0400/04/18 83719
på 1970/01/1 79508
på 1970/01/1 66896
på 1970/01/1 63010
på 1970/01/1 63003
på 1970/01/1 54081
på 1970/01/1 52118