Utvecklingen av batteriteknologi har främjat ny elektronik, elbilar och förnybar energi.Att veta hur olika batteriladdningsmetoder fungerar är viktigt för att få bästa prestanda och längsta livslängd från batterier.Den här artikeln tittar på olika laddningsmetoder, som konstant spänning (CV) och konstant ström (CC), deras kombinationer och nya metoder som konstant effekt (CP) laddning.Den täcker också avancerade tekniker som pulladdning och den innovativa IUI -laddningsmetoden som är designad för specifika typer av batterier.Varje metod har sina egna fördelar och är bäst för vissa användningsområden och visar de detaljerade behoven hos modern batteriteknologi.Den här artikeln förklarar inte bara hur dessa metoder fungerar utan också visar hur de används i dagens tekniska drivna värld och sätter scenen för en detaljerad titt på varje laddningsmetod, hur de fungerar och de tekniska framstegen som fortsätter att förändra fältet förBatteriladdning.

Bild 1: Batteriladdning fungerar
Laddning av konstant spänning (CV) är en metod där spänningen som appliceras på ett batteri förblir fixerat under laddningsprocessen.Detta skiljer sig från konstant ström (CC) laddning, där strömmen hålls konstant medan spänningen varierar.Vid CV -laddning laddas batteriet tills det når en förutbestämd spänningsnivå.Vid denna tidpunkt upprätthålls spänningen och strömmen minskar när batteriet närmar sig full laddning.Denna metod säkerställer att spänningen förblir inom ett säkert intervall, vilket förhindrar överladdning och potentiell batterisskada.
Denna laddningsmetod krävs i det sista steget av laddning av litiumjonbatterier.Det ger exakt spänningskontroll, vilket säkerställer att varje cell i batteripaketet når den optimala laddningsnivån utan att överskrida den maximala spänningsgränsen som kan skada batteriets kemi och livslängd.

Bild 2: Graf över den konstant spänningsladdningen (CV) laddning
Här är en detaljerad uppdelning av CV -laddningsfasen:
Under den konstanta strömfasen (CC) -fasen laddas batteriet tills det träffar en specifik spänningströskel, nära sin maximala kapacitet (cirka 4,2 volt per cell för de flesta litiumjonbatterier).
När denna tröskel har uppfyllts övergår laddningskretsen från CC till CV -läge.Laddaren applicerar sedan en konstant spänning på batteriet.
I början av CV -fasen är laddningsströmmen hög.När cellspänningen närmar sig laddningsspänningen minskar strömmen gradvis.Detta händer eftersom potentialskillnaden mellan laddaren och batteriet minskar, naturligtvis begränsar det nuvarande flödet enligt Ohms lag.
När batteriet fortsätter att ladda krävs mindre ström för att hålla spänningen.Denna minskande ström indikerar att batteriet närmar sig sin fulla laddningskapacitet.
Laddningsprocessen slutar när strömmen sjunker till en liten bråkdel av den initiala laddningshastigheten, ofta cirka 10% av startströmmen.Denna minskning av nuvarande signaler om att batteriet är fulladdat.
Konstantström (CC) laddning är en batteriladdningsmetod där en fast ström levereras till batteriet tills det når en specifik spänningsnivå.Till skillnad från laddning av konstant spänning (CV), där spänningen förblir stabil och strömmen minskar när batteriets laddningar, upprätthåller CC -laddningen en stadig ström under laddningsprocessen.Denna ström specificeras av batteritillverkaren eller bestäms baserat på batteriets egenskaper.När den konstantströmmen flyter in i batteriet ökar spänningen.När batteriet når sin angivna spänningströskel kan laddningsmetoden växla till konstant spänningsladdning för att slutföra cykeln, vilket säkerställer att batteriet är fulladdat utan överladdning.
Den grundläggande principen för CC -laddning innebär att strömmen flyter in i batteriets konstant under laddningsfasen.Detta uppnås med hjälp av nuvarande regleringskretsar eller enheter som övervakar och justerar den aktuella utgången så att den matchar den önskade nivån.Denna metod säkerställer effektiv energiöverföring och minimerar stress på battericellerna.Konstant strömladdning används i stor utsträckning i olika applikationer, inklusive konsumentelektronik, elfordon och industriell utrustning på grund av dess enkelhet och effektivitet vid laddningsbatterier säkert och pålitligt.

Bild 3: Graf över den ständiga strömladdningen
Framsteg inom detta område drivs av behovet av effektivare, snabbare och säkrare laddningslösningar, med fokus på innovativa material, batteriledningssystem och smarta algoritmer.Nedan är en engagerande översikt över dessa nya tekniker:
|
Kategori |
Teknologi |
Beskrivning |
Gynn |
|
Elektrodmaterial |
Kiselanoder |
Kisel kan lagra tio gånger mer litium
joner än grafit, vilket leder till högre energitäthet och snabbare laddning. |
Högre energitäthet, snabbare laddning |
|
Litiummetallanoder |
Litiummetall erbjuder högre kapacitet men
utgör risker för kortslutningar från dendriter.Lösningar inkluderar avancerad
Elektrolyter och konstruktion av fast tillstånd. |
Högre kapacitet, förbättrad säkerhet |
|
|
Battery Management Systems (BMS) |
Adaptiv CC -laddning |
Övervakar varje cells laddning, temperatur,
och hälsa, justera strömmen i realtid med hjälp av maskininlärning och
Avancerade algoritmer. |
Optimerad effektivitet, långvarigt batteri
liv |
|
Trådlös CC -laddning |
Resonant induktiv koppling &
Magnetisk resonans |
Tekniker som möjliggör effektiv energi
Överför över korta avstånd utan fysiska kontakter, nu skalas
För större applikationer som EVs. |
Sömlös, snabb energipåfyllning för
Ev |
|
Nanoteknik |
Kolananorör & grafen |
Nanostrukturerade material med exceptionella
Elektrisk konduktivitet och ytarea, införlivad i batteriet
Elektroder för att minska laddningstiderna och förbättra hållbarheten. |
Snabbare laddning, förbättrat batteri
varaktighet |
|
Hybrid Supercapacitor-battery-system |
Kombinera superkondensatorer för snabba
Laddning under CC -fasen med batterier för lagring med hög energi. |
Hög effekt och energitäthet, snabb
laddningsförmåga |
|
|
Mjukvara och kontroll |
AI & prediktiv modellering |
Använder en stor dataanalys för att bestämma
Optimala laddningsparametrar, lärande från tidigare cykler för att förfina laddning
profiler och förhindra överladdning och överhettning. |
Snabbare, säkrare och effektivare
laddning |
|
IoT -integration |
IoT-aktiverade laddare och batterier |
Möjliggör kommunikation mellan laddare,
batterier och centraliserade system för att optimera laddningsscheman och övervaka
Batterihälsa i realtid. |
Kostnadsbesparingar, nätbelastningsbalansering,
realtidsövervakning för batterilongens och tillförlitligheten |
|
Reglering och standardisering |
Reglerings- och standardiseringsinsatser |
Fastställer riktlinjer för SAFE och
Effektiv implementering av nya CC -laddningsteknologier, säkerställa
Kompatibilitet och säkerhet mellan olika applikationer och tillverkare. |
Underlättar marknadsintegration, säkerställer
säkerhet och kompatibilitet |
Hybrid CVCC (konstant spänning, konstant ström) laddning är ett modernt sätt att ladda batterier.Den använder både konstant spänning och konstant strömtekniker för att göra laddningsprocessen bättre.Huvudmålet med hybrid CVCC -laddning är att få batterierna att hålla längre, ladda säkert och arbeta effektivt.Denna metod är användbar för elbilar, konsumentgadgets och lagring av förnybar energi.
Traditionell laddning använder antingen konstant spänning eller konstant ström hela tiden.I konstant ström (CC) laddning får batteriet en jämn ström tills det träffar en viss spänning.I konstant spänning (CV) laddning får batteriet en stadig spänning medan strömmen långsamt minskar när batteriet fylls.Hybrid CVCC -laddning kombinerar dessa två sätt att lösa sina problem och använda sina styrkor.
Syftet med hybrid CVCC -laddning är tre gånger.För det första syftar det till att förkorta laddningstiden medan du säkert fyller batteriet till sin maximala kapacitet.Detta är mycket viktigt för saker som elbilar som behöver snabb laddning för att minska driftstopp.För det andra hjälper det batteriet att hålla längre genom att undvika överladdning och överhettning, vanliga problem med traditionell laddning.Genom att försiktigt styra spänningen och strömmen minskar hybrid CVCC -laddning slitage på battericellerna.Slutligen ökar denna metod energieffektivitet genom att se till att kraften som levereras till batteriet är optimerat, minskar energiförlusten och utnyttjar tillgänglig kraft bättre.

Bild 4: Graf över CVCC -laddningen
Hybridkonstantspänningen/konstantströmmen (CVCC) laddningsmetod börjar med att ladda batteriet med en hög ström.Under denna fas levererar laddningssystemet en konsekvent, hög ström till batteriet oavsett spänning.Detta tillvägagångssätt laddar snabbt batteriet till en nivå av sin kapacitet inom kort tid.Den höga strömfasen krävs för att snabbt föra batteriet till ett användbart tillstånd.
När batteriet absorberar den inkommande strömmen stiger dess spänning.Laddningssystemet övervakar batteriets spänning och ström för att säkerställa att säkerhetsgränserna inte överskrids.Denna fas är effektiv för batterier som kan hantera högström ingångar utan skador eller överdriven värme.Varaktigheten för denna fas varierar beroende på batterityp och kapacitet men syftar till att snabbt ladda batteriet till en förutbestämd spänningsnivå.
När batteriets spänning närmar sig målet övergår laddningssystemet till den andra fasen, där strömmen minskar.När batteriet når en specifik spänningströskel minskar systemet strömmen medan spänningen är konstant.Detta hjälper till att förhindra överladdning och minskar stressen på battericellerna.
Övergångsfasen kräver en balans mellan att upprätthålla konstant spänning och säkerställa att strömmen förblir inom säkra nivåer.Systemet använder algoritmer och feedbackmekanismer för att övervaka batteriets tillstånd och justera strömmen.Målet är att föra batteriet närmare full kapacitet samtidigt som överladdningsrisker minimeras.Denna fas finjusterar energiinmatningen för att säkerställa optimal laddningseffektivitet och säkerhet.
I den sista fasen upprätthåller laddningssystemet en konstant spänning samtidigt som strömmen kan avta till noll.När batteriet närmar sig full laddning minskar det nuvarande behovet av att upprätthålla konstantspänningen.Denna fas säkerställer att batteriet är fulladdat utan överladdning eller orsakar skador.
Att upprätthålla en konstant spänning i denna fas gör att batteriet kan slutföra sin laddningscykel säkert och effektivt.Laddningssystemet fortsätter att övervaka batteriets spänning och ström, vilket gör justeringar i realtid för att hålla spänningen stabil.När strömmen når en minimal nivå eller noll är laddningsprocessen klar och batteriet är fulladdat.
Denna slutfas maximerar batteriets laddningskapacitet och beredskap för användning.Genom att styra spänning och ström under hela processen ger hybrid CVCC -metoden ett pålitligt och effektivt sätt att ladda batterier, förbättra prestanda och förlänga livslängden.
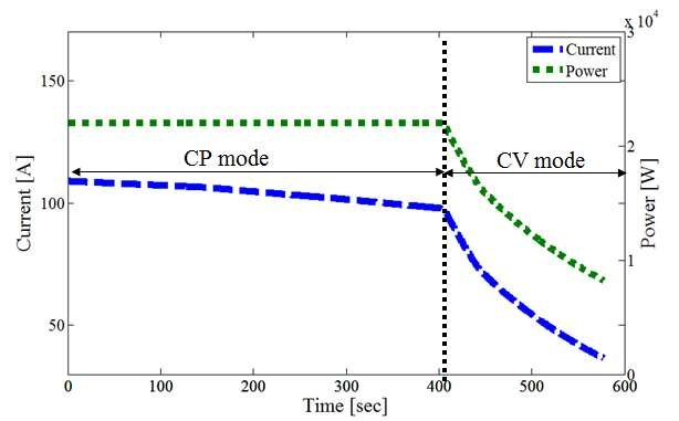
Konstant kraftladdning använder en dynamisk strategi.Det börjar med en hög ström när batterispänningen är låg och minskar strömmen när spänningen ökar.Denna metod anpassar kraftleverans baserat på batteriets tillstånd, maximerar laddningseffektiviteten och minskar batteris stress.
Konstant kraftladdning är en teknik som huvudsakligen används för laddningsbatterier där ingångseffekten hålls konstant under laddningscykeln.Effekt, definierad som energiöverföringshastigheten, beräknas genom att multiplicera spänningen (V) och ström (i) (p = v x I).I denna metod, när batteriets spänning ökar, justeras strömmen för att säkerställa att kraften förblir konstant.Detta tillvägagångssätt optimerar de initiala faserna när batteriet säkert kan acceptera högre energiöverföringshastigheter utan överhettning eller stress.

Bild 5: Graf över konstantströmmen kontra konstant kraftladdning
Konstant kraftladdning skiljer sig från de vanligaste metoderna som konstant ström (CC) och konstant spänning (CV) laddning.Vid konstant strömladdning ger laddaren en stadig ström till batteriet även när spänningen ändras.Detta fungerar bra till en början men blir mindre effektiv när batteriet blir fylligare, kan orsaka för mycket spänning och stressa batteriet.
Konstant spänningsladdning ställer in laddaren till en fast spänning och strömmen minskar när batteriet fylls.Detta hjälper till att undvika överladdning och säkerställer batteriladdningarna helt utan att gå över spänningsgränsen.
Konstant kraftladdning försöker kombinera de goda punkterna för båda metoderna.Den justerar både ström och spänning för att hålla effektnivån stabil.Detta kan ladda batteriet snabbt till en början, som konstant ström, och sedan sakta ner när batterispänningen stiger, som konstant spänning.Denna metod hjälper till att hantera stress på batteriet, vilket gör det till ett bra val för saker som behöver snabb laddning och lång batteritid, som elbilar och enheter med hög kapacitet.
Konstant effekt Konstantspänning (CPCV) kombinerar två metoder: konstant spänning (CV) och konstant effekt (CP).I CV -läge håller laddaren spänningen jämn för att undvika att överladdning av batteriet, när det är nästan fullt.I CP -läge, som används i början, ger laddaren kraft med konstant hastighet för snabb laddning, hantering av batteriets värme och stress.
Denna metod börjar med konstant kraft för att snabbt leverera energi vid höga strömmar när batterispänningen är låg.När batteriet närmar sig full laddning flyttas det till konstant spänningsladdning för att förfina processen och förhindra överspänning.Denna strategi är effektiv för att snabbt ladda batterier upp till en betydande kapacitet innan du optimerar de slutliga laddningsstegen, vilket säkerställer effektivitet och säkerhet.
CPCV fungerar med olika typer av batterier, som litiumjon, som behöver noggrann laddning.Systemet växlar mellan CP och CV baserat på batteriets laddningsnivå och andra faktorer.

Bild 6: Graf över laddning av konstant kraftkonstant (CPCV)
CPCV (konstant kraftkonstantspänning) laddning är fördelaktig för litiumjon (Li-ion) och litiumpolymerbatterier (LIPO).Dessa batteryper är vanliga i moderna högteknologiska enheter.CPCV -laddning börjar med en konstant effektfas, där batteriet snabbt absorberar mycket energi utan att träffa högspänningsnivåer för snart.När batteriet når en viss spänning flyttas laddningen till en konstant spänningsfas, och håller spänningen stabil för att slutföra laddningsprocessen säkert utan att stressa eller överhettas batteriet.
• Smartphones och surfplattor: Dessa prylar behöver snabb och effektiv laddning för att förbättra batteriets livslängd och prestanda.
• Bärbara datorer: I likhet med smartphones drar bärbara datorer nytta av snabb men ändå säker laddning, hjälper till att upprätthålla batterihälsa för långvarig användning på batterilakt.
• Elektriska fordon (EV): EVs har stora batteripaket som drar nytta av CPCV -laddning.Metoden laddar snabbt batteriet till en hög nivå innan du byter till konstant spänning för att säkert avsluta processen.
• Strömverktyg: Batterier med hög kapacitet i elverktyg kan laddas snabbt och säkert med CPCV, minska driftstopp och se till att verktygen är färdiga för användning.
Pulladdning är en metod som används för att ladda batterier genom att applicera skurar av hög ström, följt av viloperioder utan ström eller en kort urladdning.Till skillnad från traditionella metoder som använder en konstant ström av ström, involverar pulladdning cykler av laddning och vila.Denna teknik syftar till att replikera naturliga laddningsprocesser som finns i biologiska system och optimera balansen mellan energiinmatning och batteriets kemiska stabilitet.
Denna metod kan skräddarsys för olika batteryper, såsom bly-syra, nickel-kadmium (NICD), nickel-metallhydrid (NIMH) och litiumjonbatterier.Varje typ kan kräva unika pulskonfigurationer, inklusive variationer i pulsstyrka, varaktighet och viloperioder.
Pulsladdning En stor fördel är att det minskar bildningen av dendriter i litiumjonbatterier.Dendriter är nålliknande strukturer som kan bildas under laddning och orsaka kortkretsar, vilket minskar batteritiden och säkerheten.Stopp-och-start-naturen hos pulladdning hjälper till att kontrollera hur litiumavlagringar på elektroderna, vilket sänker risken för att dendriter bildas.
Pulladdning kan förbättra batteriets prestanda och livslängd genom att minska värmeproduktionen under laddningen.Detta hjälper till att hålla batteriet vid rätt temperatur, bevarar sin kapacitet och förlänger dess livslängd.Detta är viktigt för högkapacitetsbatterier i elektriska fordon och bärbar elektronisk enhet.
Pulladdning kan också påskynda laddningsprocessen utan att skada batteriet.Det möjliggör snabbare energiåterställning jämfört med kontinuerlig strömladdning och användbart för applikationer som behöver snabba laddningstider, som nödkraftsystem eller under korta bilstopp.

Bild 7: Pulladdning av litiumjonbatteri
Pulladdning är en avancerad metod för laddningsbatterier som syftar till att förbättra effektiviteten och livslängden för laddningsbara batterier som nickel-kadmium (NICD), nickel-metallhydrid (NIMH) och litiumjon (Li-ion) celler.Till skillnad från traditionell kontinuerlig likström (DC) laddning levererar pulsladdning avgift i korta, kontrollerade skurar eller pulser.Den här metoden optimerar laddningsprocessen och tar upp vanliga batterifrågor som överhettning och "minneseffekten" i NICD -batterier.
Pulladdning fungerar genom att intermittent applicera en högre ström på batteriet under en kort period följt av en viloperiod utan ström.Dessa pulser minskar den totala termiska stressen på batteriet genom att låta värmen spridas under viloperioderna, vilket minimerar temperaturökningen och potentiella skador.
Pulsladdare använder två huvudtyper av pulser:
• Ladda pulser: Högströmpulser som snabbt laddar batteriet.Amplituden, varaktigheten och frekvensen för dessa pulser varierar beroende på batterityp och tillstånd.
• Utsläppspulser: Ibland isär med laddningspulser, dessa hjälper till att förstöra batteriets elektrolyt och minska minneseffekten i NICD -batterier.
Laddaren styr varaktigheten för laddningspulserna och intervallen mellan dem med hjälp av återkopplingsmekanismer som övervakar batteriparametrar såsom spänning och temperatur.Denna feedback gör det möjligt för laddaren att justera laddningsprocessen och förbättra batteriets avgifts acceptans och allmän hälsa.
Laddning av trickle är en teknik som används för att hålla batterierna fulladdade medan du undviker överladdning.Det fungerar genom att leverera ett litet, konsekvent flöde av el till batteriet och matcha dess naturliga självutladdningsfrekvens.Denna metod är användbar för enheter som inte används ofta, vilket säkerställer att de förblir laddade och redo utan att skada batteriets hälsa.
Denna process tillämpar en minimal, kontinuerlig ström, idealisk för att upprätthålla batteriets laddning under långa perioder.Den långsamma laddningshastigheten håller batteriet friskt och redo att använda, även om det är fulladdat.Även om det är fördelaktigt för standbybatterier rekommenderas det inte för NIMH- och litiumjonbatterier, eftersom de kan skadas av långvarig laddning på låg nivå.
Huvudmålet med trickeladdning är att hålla ett batteri till optimal laddning på obestämd tid.Trickle -laddningsprocessen involverar noggrant reglering av den elektriska strömmen som strömmar in i batteriet.Laddaren kontrollerar först batteriets spänning för att bestämma hur mycket ström som ska tillhandahållas.Om spänningen är under målet förser laddaren en högre ström för att ladda den.När målspänningen har uppnåtts växlar laddaren till en lägre, jämn ström som matchar batteriets självutladdningshastighet.Detta tillvägagångssätt håller batteriet fulladdat utan risken för överladdning och förlänger dess livslängd och prestanda.

Bild 8: Trickle batteriladdning
Ledsyrabatterier: Både flottör och pulladdning är lämpliga.Flytladdning är ofta att föredra för stationära användningar som nödsystem.
Nickel-kadmiumbatterier: Dessa batterier kan använda både puls och flottörladdning, fördelaktigt när överladdning är ett problem.
Litiumjonbatterier: Dessa är inte lämpade för trick- eller flottörladdning på grund av deras känslighet för överladdning.Pulladdning, med kontrollerade skurar och lämpliga kretsar, är bättre lämpade för att skydda och underhålla litiumjonbatterier.
Multi-Stage Constant Current (MCC) laddning är en avancerad teknik för laddning av batterifattceller, särskilt litiumjon- och bly-syrabatterier.Denna metod involverar distinkta stadier av konstant strömladdning, var och en skräddarsydd efter olika faser av batteriets laddningscykel.Huvudmålet med MCC -laddning är att förbättra batteriets hälsa och livslängd genom att justera strömmen som levererades under olika stadier av laddningsprocessen.
I det första steget appliceras en högre konstantström för att snabbt ladda batteriet till en del av dess kapacitet.Denna fas, känd som bulkladdning, ökar effektivt batteriets laddningsnivå.
När batteriet når vissa spänningströsklar, flyttas laddningssystemet till steg med lägre strömmar.Dessa stadier ger finare kontroll, förhindrar överladdning och minskar stress på battericellerna.Denna noggranna modulering hjälper till att upprätthålla batteriets livslängd och effektivitet.

Bild 9: Graf över Multi-Stage Constant Current (MCC) laddning
|
Aspekt |
MCC -laddning |
|
Batteri
Hälsa |
Minimerar stress under laddningen |
|
Nuvarande
Justering |
Justeras baserat på batteriets laddningsnivå |
|
Överhettning
Förebyggande |
Minskar strömmen när laddningen ökar till
förhindra överhettning |
|
Batteri
Långt liv |
Förbättrar den allmänna hälsan och livslängden |
|
Temperatur
Förvaltning |
Håller temperaturen inom optimala intervall |
|
Spänning
Förvaltning |
Förhindrar överdriven spänningsspänning |
|
Effektivitet |
Avgifter snabbt utan att offra
säkerhet |
|
Kapacitet
och stabilitet |
Upprätthåller högre kapacitet och stabilitet
över livslängden |
|
Ansökan
Lämplighet |
Lämplig för olika applikationer
(Elektronik, fordon) |
Avsmalnande laddning, härrörande från konstantspänningsmetoden, minskar laddningsströmmen när batterispänningen stiger.Denna enklare metod kräver noggrann övervakning för att förhindra överladdning, särskilt i förseglade bly-syrabatterier, för att undvika nedbrytning eller fel.
När batteriet laddas ökar dess inre motstånd och kan orsaka högre temperaturer och möjliga skador om den initiala höga laddningsströmmen hålls densamma.Att minska strömmen säkerställer laddaren att batteriet blir mindre aktuellt när det laddas mer, vilket sänker risken för överhettning och förlänger batteriets livslängd.
Jämfört med andra batteriladdningsmetoder är avsmalnande strömladdning enklare och ofta säkrare.Det skiljer sig från mer komplexa tekniker som pulladdning eller konstant ström/konstant spänning (CC/CV) laddning som används för litiumjonbatterier.Dessa metoder kan ladda batterier snabbare och mer effektivt men behöver mer avancerade system för att kontrollera laddningsprocessen säkert.
Även känd som reflex eller negativ pulladdning, Burp -laddning innebär korta urladdningspulser under laddningsstöd.Burp-laddning är en metod som används för att förbättra livslängden och effektiviteten för nickelbaserade batterier, såsom nickel-kadmium (NICD) och nickel-metallhydridbatterier (NIMH).Denna teknik innebär kort avbrott av laddningsprocessen med korta urladdningspulser.Dessa korta urladdningar frigör gasbubblor som ackumuleras i battericellerna under normal laddning.Denna utgåva, ofta kallad "burping", förhindrar tryckuppbyggnad och minskar minneseffekten, ett tillstånd som kan minska batteriets kapacitet och livslängd om det upprepade gånger laddas utan att bli helt urladdade.

Bild 10: Burp laddningsdiagram
Så här fungerar det och varför det är fördelaktigt:
Vid laddning kan dessa batterier bilda gasbubblor på sina elektroder och blockera elflödet.Burp -laddning innebär korta urladdningar, eller "burps", som hjälper till att pop dessa bubblor och hålla elen flödande smidigt.
De korta urladdningarna hjälper till att hålla batteriets inre miljö.Minska gasuppbyggnad och internt tryck, Burp -laddning säkerställer en jämnare laddningsfördelning inom batteriet.
Burp -laddning minskar risken för överladdning och överhettning, vanliga problem med traditionella laddningsmetoder.Detta gör laddningsprocessen snabbare och säkerställer batteriladdningarna helt och jämnt.
Genom att förhindra gasuppbyggnad och överhettning hjälper Burp -laddning att upprätthålla batteriets interna komponenter.Detta leder till en längre livslängd för batteriet.
IUI-laddning är en modern metod för snabb laddningsstandard översvämmade bly-syrabatterier.Det involverar tre faser: en initial konstant strömfas tills en inställd spänning har uppnåtts, en konstant spänningsfas där strömmen minskar till en annan förinställd nivå och en slutlig återgång till konstant ström.Detta tillvägagångssätt säkerställer till och med att ladda över alla celler, maximera prestanda och livslängd.
IUI-laddningsmetoden är fördelaktig för standard översvämmade bly-syrabatterier eftersom den säkerställer att även laddning över alla celler, bra för att upprätthålla optimal prestanda och förlänga batteriets totala livslängd.IUI -laddning styr ström och spänning för att förhindra överladdning eller underladdning, vilket minskar risken för batterisvikt.Det förkortar också laddningstiden, vilket gör det effektivt och praktiskt för många användningsområden.

Bild 11: IUI laddningsdiagram
Float Charging är en teknik som huvudsakligen används med bly-syrabatterier i nödkraftssystem.Denna metod involverar att ansluta batteriet och lasten till en konstant spänningskälla.Spänningen hålls precis under batteriets maximala kapacitet.Denna noggranna kontroll av spänningen förhindrar överladdning och säkerställer att batteriet alltid är klart för användning.
Praktiskt taget håller flottörladdning batteriet helt klart utan risken för överladdning.Den konstant spänningskällan kompenserar batteriets naturliga självutskrivning och håller sin laddning på en optimal nivå.Denna metod är mycket användbar för system där batteriet måste vara klart när som helst, som oavbruten strömförsörjning (UPS), nödbelysning och standbygeneratorer.
Att använda flottörladdning hjälper till att upprätthålla batteriets tillförlitlighet, se till att det kan ge ström vid behov.Det minskar också behovet av ofta underhåll och övervakning, vilket gör det till ett praktiskt och effektivt sätt att hålla nödsystemet redo.

Bild 12: flottörsladdningsdiagram
Slumpmässig laddning är en metod som används när strömförsörjningen är opålitlig eller ändras mycket.Detta händer ofta i situationer som fordon med förändrade motorvarvtal eller solpaneler som påverkas av vädret.
I fordon kan motorhastigheterna variera mycket och orsaka oregelbundna effektutgångar som gör det svårt för ett batteri att ladda ordentligt.På liknande sätt producerar solpaneler elektricitet baserat på solljus och kan förändras snabbt på grund av moln eller tid på dagen.Dessa förändringar kan sätta mycket stress på batterier om de inte hanteras rätt.
För att hantera dessa problem använder slumpmässig laddning specialtekniker för att hantera variabla laddningsvillkor.Dessa inkluderar avancerade algoritmer och smarta laddningssystem som justerar i realtid till förändringar av strömförsörjning.Med kontinuerlig övervakning av ingångseffekten och anpassar laddningsprocessen skyddar dessa system batteriet från skador orsakade av fluktuerande kraft.
Slumpmässig laddning säkerställer också att batteriet fungerar bra och varar längre, även med en inkonsekvent strömkälla.Det förhindrar överladdning under kraftvågor och ser till att det finns tillräckligt med laddning under droppar i kraft.

Bild 13: Graf för slumpmässig laddning
Att utforska olika sätt att ladda batterier visar hur viktigt det är att förbättra batteritekniken för att tillgodose de växande behoven hos moderna enheter och system.Grundläggande metoder som konstant spänning och konstant ström, såväl som mer avancerade tekniker som hybrid CVCC och konstant kraftladdning, har var och en sina egna fördelar och är bäst för specifika typer av batterier och användning.Framsteg i material för elektroder, batteriehanteringssystem och användning av smart teknik är viktiga för att få batterier att fungera bättre och säkrare.Framtiden för batteriladdning beror på att utveckla och använda dessa tekniker för att säkerställa att de är hållbara, effektiva och pålitliga.
Långsam laddning: Denna metod använder standard AC (växlande ström) kraft som finns i bostadsinställningar.Laddare arbetar vid lägre effektnivåer (upp till 3 kW), vilket gör det lämpligt för laddning över natten.
Snabbladdning: Snabbladdare använder högre nivåer av växelström (upp till 22 kW) och finns i offentliga laddningsstationer.De kan ladda ett elektriskt fordon (EV) batteri snabbare än långsamma laddare, vanligtvis inom några timmar.
Snabb laddning: Dessa är de snabbaste laddarna tillgängliga med hjälp av DC (likström) kraft.De kan driva upp det mesta av en EV: s batterikapacitet på under en timme.Effektnivåer börjar från cirka 50 kW och kan gå upp till 350 kW för de mest avancerade systemen.
Per minut laddning: Denna prissättningsstruktur debiterar användare baserat på den tid som är ansluten till laddaren, oavsett mängden el som konsumeras.
Per KWH-laddning: Detta är en användningsbaserad prissättningsmodell där användare faktureras baserat på den el som konsumeras av deras fordon i kilowattimmar.Denna metod anses vara rättvisare eftersom den direkt korrelerar med den energi som används.
Avladdning av fast ränta: Vissa laddstationer erbjuder en fast ränta för ett specifikt laddningsfönster, till exempel en timme eller en dag, och kan vara fördelaktigt för längre stopp.
Läge 1 laddning: Detta är den enklaste formen av EV -laddning, där fordonet är anslutet direkt till ett vanligt hushållsuttag utan någon speciell utrustning.Det är långsamt och används för mindre fordon eller laddning över natten.
Läge 2 laddning: Detta läge innebär också laddning från ett standard elektriskt utlopp men innehåller en kabel med en inbyggd skyddsanordning.Denna enhet skyddar mot elektriska stötar och andra potentiella elektriska faror, vilket gör den säkrare än läge 1 och mer mångsidig.
Undvik extrem laddning: Ladda inte rutinmässigt batteriet till 100% eller låt det dränera till 0%.Håll avgiften mellan 20% och 80%.
Kontrolltemperatur: Batterier fungerar bäst i måttliga temperaturer.Undvik att utsätta batteriet för extrem förkylning eller värme.
Använd tillverkare-rekommenderade laddare: Använd alltid laddningsutrustningen som rekommenderas av fordonstillverkaren för att undvika att skada batteriet.
Regelbunden användning och underhåll: Regelbunden användning och snabb underhållskontroller hjälper till att upprätthålla batterihälsa.Långa perioder med inaktivitet kan försämra batteriets prestanda.
Laddningshastighet: Snabb laddning är bekväm men kan stressa batteriet.Långsamma eller måttliga laddningshastigheter är att föredra för daglig användning för att förlänga batteritiden.
Temperaturkontroll: Laddning i en kontrollerad miljö där temperaturen är måttlig hjälper till att bevara batteriets hälsa och effektivitet.
Laddningsområde: Att hålla batteriets laddning mellan 20% och 80% under regelbunden användning kan påverka dess livslängd och prestanda.
Skicka en förfrågan, vi svarar omedelbart.
på 2025/11/3
på 2025/10/31
på 8000/04/18 147757
på 2000/04/18 111936
på 1600/04/18 111349
på 0400/04/18 83721
på 1970/01/1 79508
på 1970/01/1 66910
på 1970/01/1 63047
på 1970/01/1 63012
på 1970/01/1 54081
på 1970/01/1 52127