
Bild 1: Aktuella förhållanden i kretsar
I parallella kretsar deltar de nuvarande delningarna mellan olika grenar baserat på varje grenens motstånd.Detta koncept liknar spänningsdelare men gäller i stället för strömmar.Strömmen som strömmar genom vilket motstånd som helst i kretsen, såsom R1 jämfört med R3, håller ett fast förhållande, även om källspänningen ändras.Till exempel, om strömmen till R1 alltid är dubbelt så stor som R3, förblir detta förhållande stabilt oavsett fluktuationer i källspänningen.Detta förutsägbara beteende förklaras av Ohms lag, som säger att strömmen genom ett motstånd i en parallell krets är omvänt proportionell mot dess motstånd.
Parallella kretsar fungerar som strömavdelare och delar den totala strömmen från källan till delar som är omvänt relaterade till motståndet.Detta kan uttryckas matematiskt som
där
är strömmen genom motståndet
och
är konstantspänningen över alla parallella komponenter.Detta förhållande visar att nuvarande uppdelning i en parallellkrets inte bara beror på motståndsvärden utan också på principen om nuvarande bevarande, vilket dikterar att den totala strömmen som kommer in i en korsning är lika med den totala strömmen som lämnar den.

Bild 2: Aktuell avdelningsformel
Den nuvarande avdelningsformeln är ett grundläggande koncept inom elektroteknik för att analysera strömflöden i parallella resistiva kretsar.Det visar att strömmen genom vilken gren som helst i en parallell krets är omvänt proportionell mot motståndet hos den grenen, jämfört med det totala motståndet för alla grenar.Detta hjälper till att förenkla processen för att bestämma hur ström distribueras mellan olika vägar i en krets.
För att uttrycka detta kvantitativt beräknas strömmen genom ett motstånd i en parallell krets med:

Här,
är den totala strömmen som kommer in i det parallella nätverket,
är motsvarande motstånd för det parallella nätverket, och
representerar motståndet för varje gren., Beräknat av:

Denna formel behövs för ingenjörer och tekniker eftersom den gör att de kan förutsäga strömmen i någon gren av en parallellkrets utan att mäta spänningen över varje komponent.Utöver att förenkla beräkningar hjälper det att utforma kretsar med önskade nuvarande egenskaper.Denna optimering är dynamisk för att förbättra prestandan hos system som strömförsörjning och säkerställa säkerhet genom att se till att komponenter fungerar inom deras nuvarande gränser.

Bild 3: Aktuell avdelnings- och spänningsavdelningsformler
Att förstå skillnaderna och likheterna mellan spänningen och nuvarande avdelningsekvationer kan hjälpa till att förhindra misstag såsom felaktigt tillämpa motståndsförhållanden.Båda formlerna distribuerar en total ingång (ström eller spänning) över komponenter baserat på deras motstånd, men de arbetar under olika förhållanden och använder distinkta metoder för motstånd.
Den nuvarande avdelningsformeln används i parallella kretsar för att hitta strömmen genom en viss gren.Det visar att strömmen i en gren är omvänt proportionell mot dess motstånd jämfört med det totala parallella motståndet.Detta innebär att grenar med lägre motstånd kommer att ha en högre andel av den totala strömmen.Spänningsavdelningsformeln gäller för seriekretsar och beräknar spänningen över en specifik komponent.Det indikerar att spänningen över en komponent är proportionell mot dess motstånd jämfört med den totala seriemotståndet.Därför kommer komponenter med högre motstånd att ha en större andel av den totala spänningsfallet.
Båda formlerna skapar förhållanden mellan nyckeln, mindre än en, och belyser deras funktion som avdelare.De delar en ingång (ström eller spänning) i mindre, proportionella delar snarare än att öka värdena.Att identifiera om en krets är i serie eller parallell krävs för att använda rätt formel.Denna distinktion avgör hur ingången är uppdelad - aktuell mellan parallella stigar eller spänning längs en serieväg.
Nuvarande avdelare behövs i elektriska mätarkretsar, vilket möjliggör exakt kontroll av strömflödet för att mäta elektrisk användning exakt.Dessa kretsar kräver ofta att regissera en specifik fraktion av strömmen genom ett känsligt instrument, som uppnås med hjälp av ett shuntmotstånd beräknat med den nuvarande avdelningsformeln.
Tänk på en elektrisk mätare utformad för att mäta stora strömmar som standardinstrument inte kan hantera direkt.Genom att placera ett shuntmotstånd parallellt med mätanordningen säkerställer den aktuella avdelningsformeln att endast en säker, förutbestämd fraktion av strömflödena genom mätaren.

Beräkningen innebär att du väljer ett shuntmotståndsvärde som, i kombination med mätarens motstånd, delar på lämpligt sätt strömmen.Här,
är den totala strömmen,
är mätarens motstånd, och
är motståndet hos shuntmotståndet.Genom att noggrant välja
, ingenjörer kan kontrollera strömmen som strömmar genom mätaren och säkerställer att den förblir inom säkra driftsgränser samtidigt som de tillhandahåller exakta data för total effektanvändningsberäkningar.

Bild 4: Aktuella avdelare regel
Beräkning av strömfördelning i parallella kretsar med hjälp av den aktuella avdelningsregeln (CDR) kräver ett systematiskt tillvägagångssätt för att säkerställa noggrannhet och tillförlitlighet.
Steg 1: Verifiera kretskonfiguration
Bekräfta först att kretsen är ordnad parallellt.CDR gäller endast parallella kretsar där spänningen över alla komponenter är densamma, men strömmarna kan variera baserat på motståndsvärden.
Steg 2: Bestäm total ström
Därefter identifierar den totala strömmen in i parallellkretsen.Detta kan mätas direkt från experimentella data eller härledas med OHM: s lag.Om du använder Ohms lag, beräkna den totala strömmen genom att dela den totala spänningen med motsvarande motstånd för kretsen.
Steg 3: Beräkna motsvarande motstånd
Beräkna den totala motståndet för de parallella grenarna.Detta görs genom att hitta det ömsesidiga av summan av ömsesidigheterna i alla individuella motstånd:
Steg 4: Beräkna strömmen för varje gren
För varje gren i kretsen, applicera CDR -formeln för att bestämma de enskilda strömmarna:
där
är motståndet för grenen som analyseras.
Steg 5: Upprepa för flera grenar
Om kretsen har flera grenar, upprepa beräkningen för var och en.Se till att alla motstånd och strömmar redovisas exakt.
Steg 6: Verifiera och validera
Slutligen, verifiera beräkningarna genom att kontrollera att summan av strömmarna i alla grenar är lika med den totala strömmen som kommer in i kretsen.Detta överensstämmer med principen om bevarande av nuvarande.Bekräfta dessutom de antagna polariteterna och nuvarande riktningarna för att förhindra fel vid mätning eller tolkning.
Den nuvarande avdelningsregeln (CDR) behövs för korrekt strömfördelning i olika elektrotekniska applikationer, och spelar en viktig roll i effektiv kretsdesign och hantering.Det är särskilt värdefullt vid hantering av ojämn belastning i parallella kretsar, där det ger exakta förutsägelser om strömflödet i varje gren.Detta säkerställer att komponenter är korrekt klassificerade och kan hantera sina specifika strömmar utan risk för överbelastning, vilket är allvarligt i kretsar med grenar som upplever olika strömbelastningar.Dessutom är CDR instrumentellt för att kontrollera kraftfördelning i kretsar där överhettning kan orsaka skador, vilket hjälper till stabilitet och effektivitet hos högeffektiska applikationer som strömförsörjningsenheter och motorstyrningssystem.
CDR har också fördelar i komplexa kretsar med flera grenar.Det gör det möjligt för ingenjörer att förstå hur ström distribueras på olika vägar, vilket är fördelaktigt för att optimera kretslayouten och välja lämpliga komponenter.Denna djupa insikt hjälper till att säkerställa att varje del av kretsen fungerar inom säkra gränser, en nödvändighet under designfasen, underhåll och felsökning.Sammantaget bidrar CDR: s förmåga att förutse och hantera strömmar väsentligt till elektriska systems tillförlitlighet och säkerhet.

Bild 5: Resistiv strömavdelare
Resistiva strömavdelningskretsar är grundläggande inom elektroteknik, vilket illustrerar hur strömmar fördelar i parallella inställningar.Dessa kretsar involverar vanligtvis två eller flera motstånd parallellt, var och en får en del av den totala ingångsströmmen, som sedan rekombineras vid returpunkten till källan.
Driften av resistiva strömavdelare förlitar sig på Kirchhoffs nuvarande lag, som säger att den totala strömmen som kommer in i en korsning är lika med den totala strömmen som lämnar den.Detta säkerställer att summan av strömmar genom varje parallellväg är lika med den initiala strömmen som kommer in i kretsen.
Ohms lag är också betydande i dessa kretsar, vilket ger metoden för att beräkna strömmen genom varje motstånd.Eftersom spänningen över alla motstånd i en parallell krets är konstant, tillåter Ohms lag enkel beräkning av strömmen i varje gren:
därV är spänningen över motstånden, och Rx är motståndet hos en specifik gren.
Resistiva strömavdelare kretsar är enkla exempel på nuvarande uppdelning.I praktiska termer behövs det att analysera hur man kontrollerar dessa strömmar för att utforma kretsar som kräver exakta strömnivåer genom olika komponenter.Till exempel, i system där olika komponenter behöver specifika strömnivåer för att fungera optimalt, kan en resistiv strömavdelare fördela rätt strömmar baserat på motståndsvärden.
Ett effektivt sätt att analysera nuvarande avdelningskretsar är att använda konduktans istället för motstånd.Konduktans, det ömsesidiga motståndets ömsesidiga, förenklar processen för att förstå strömfördelningen i parallella motståndskretsar.
I parallella kretsar är det enkelt att beräkna den totala konduktansen.Den totala konduktansenGtotal är summan av ledningarna för varje parallellmotstånd:
där
är ledningarna för parallella motstånd.
När du vet den totala konduktansen blir det lättare att hitta strömmen genom varje gren.Strömmen Jagxi en gren med konduktansGx ges av:

Denna formel möjliggör direkt beräkning av grenströmmar med hjälp av konduktans, genom att kringgå behovet av att först beräkna motsvarande motstånd och sedan tillämpa den traditionella nuvarande avdelningsregeln.
Att använda konduktans är särskilt fördelaktigt i komplexa kretsar där beräkning av individuella och totala motstånd kan vara tråkiga.Att konvertera motstånd mot konduktans förenklar summorna, vilket gör nuvarande beräkningar mer direkta och minskar potentiella fel.Att anta konduktans för den nuvarande uppdelningen förbättrar flexibiliteten och effektiviteten i kretsanalysen.
Att använda konduktans för att tillämpa den nuvarande avdelningsregeln ger ett tydligare sätt att analysera strömflödet i parallella kretsar.Denna metod är i linje med egenskaperna för elektrisk konduktivitet och erbjuder ett intuitivt grepp om hur strömmar fördelar över olika grenar.
Jämfört med traditionella resistensbaserade metoder förenklar användning av konduktans nuvarande distributionsberäkningar.I detta tillvägagångssätt är konduktansen för varje gren i telleren och framhäver att högre konduktans (lägre motstånd) leder till högre strömflöde.Strömmen genom vilken gren som helst i en parallellkrets ges av:

Här,Gx är grenens konduktans,Gtotal är summan av konduktansen för alla grenar, ochJagtotal är den totala strömmen som kommer in i kretsen.Denna konduktansbaserade metod ger en tydligare bild av strömflödet i kretsar med flera parallella vägar.Det är särskilt användbart i komplexa system, där konduktansvärden direkt mäter hur lätt ström flyter genom varje komponent.
En nuvarande avdelningsregel är ett viktigt verktyg för att analysera strömflödet i komplexa elektriska kretsar, särskilt i parallella grenar med flera motstånd.Denna regel behövs för att bestämma de enskilda strömmarna genom varje motstånd, särskilt i komplexa nätverk där direkt mätning är utmanande eller opraktisk.
Parallellt motstånd: Denna regel är specifikt utformad för parallella motståndsarrangemang.Till exempel, i en krets där motstånd R1 och R2 är parallellt, är den totala strömmen in i noden som delas av R1 och R2 -delningar mellan dem omvänt proportionella mot deras motstånd.Denna division förenklar beräkningen av strömmarna i varje gren, vilket gör kretsanalys mer effektiv och pålitlig för olika applikationer, från grundläggande elektronik till avancerade tekniska system.
Uniform spänningsbehov: Ett viktigt villkor för att tillämpa den nuvarande avdelningsregeln är att ha samma spänning över varje parallellgren.Denna enhetliga spänning säkerställer exakta beräkningar, förutsatt att identiska spänningsnivåer för varje motstånd.Om det finns spänningsavvikelser kan kretsmodifieringar som källtransformationer - konvertera spänningskällor till motsvarande nuvarande källor och vice versa - krävas för att återställa förhållanden som är lämpliga för den nuvarande avdelningsregeln.
Begränsning till linjära komponenter: Den nuvarande avdelningsregeln fungerar endast med linjära komponenter som följer Ohms lag, vilket innebär att strömmen genom en komponent är proportionell mot spänningen över den och omvänt proportionell mot dess motstånd.Denna regel gäller inte för icke-linjära element som dioder eller transistorer, vars motstånd varierar med den applicerade spänningen.För kretsar med sådana element behöver analytiker alternativa metoder anpassade till icke-linjära egenskaper, såsom bitvis linjär analys eller specialiserad simuleringsprogramvara.
STADE-STATE-tillstånd: Den nuvarande avdelningsregeln antar att kretsen är i ett stabilt tillstånd, där alla spänningar och strömmar förblir konstant över tid.Detta tillstånd är betydelsefullt eftersom övergående fenomen - som att slå på eller stänga av komponenter - kan orsaka tillfälliga fluktuationer i ström eller spänning, vilket potentiellt är skevande.Under dynamiska förhållanden är mer avancerade metoder, såsom differentiell ekvationsmodellering eller Laplace -transformationer, bättre lämpade för att fånga och analysera övergående beteenden, vilket ger en detaljerad förståelse av kretsens temporära dynamik.
Den nuvarande avdelningsregeln används ofta i olika verkliga scenarier, allt från enkla kretsar med två motstånd mot komplexa system med flera motstånd och kraftkällor.Dessa exempel visar hur regeln säkerställer effektiv och effektiv kretsdrift.

Bild 6: Grundläggande tvåresistorkrets
Tänk på en enkel parallellkrets med en total ström på 10 ampere som flyter in i en nod och delning mellan två motstånd,
Den nuvarande avdelningsregeln beräknar strömmen genom varje motstånd enligt följande:

Detta exempel visar hur ström är uppdelat proportionellt baserat på motståndsvärden, med den lägre motståndet som drar mer ström.

Bild 7: Komplex multiresistorkrets
För ett mer komplext scenario, överväg en krets med flera motstånd och en total ström på 15 ampere.Motståndet
är anslutna parallellt.Använda den nuvarande avdelningsregeln:

Strömmen genom varje motstånd kan hittas av:

Denna beräkning visar hur olika motstånd påverkar den nuvarande fördelningen.
Nuvarande avdelare spelar en dominerande roll i olika tillämpningar inom elektronik och elektroteknik.De krävs för funktionaliteter som sträcker sig från komponentförspänning till systemövervakning.

Bild 8: Förspänningstransistorer i elektroniska kretsar
Nuvarande avdelare krävs för förspänningstransistorer.Genom att exakt dela strömmen som strömmar till en transistorbas, hjälper de att ställa in dess driftpunkt inom det aktiva området.Detta säkerställer stabil förstärkares prestanda och effektiv växling i digitala kretsar.

Bild 9: Aktuell distribution av strömförsörjning
I kraftförsörjningskretsar distribuerar strömavdelare strömmen mellan olika komponenter säkert och effektivt.Detta förhindrar överbelastning av komponenter och upprätthåller stabila utgångsspänningar under olika belastningsförhållanden, vilket förbättrar tillförlitligheten och effektiviteten hos kraftförsörjningen.

Bild 10: Aktuella avkänningsmekanismer
Nuvarande avdelare är avgörande i aktuella avkänningsansökningar.De riktar en hanterbar mängd ström genom sensorer, som är chef i högströmsmiljöer som motorstyrningssystem.Att mäta en liten, proportionell ström exakt möjliggör effektiv systemövervakning och kontroll.

Bild 11: Spännings-till-strömomvandling
I konverteringsprocesser för spänning till ström justerar strömavdelare utgångsström baserat på en given ingångsspänning.Detta är nyckeln till givargränssnitt, där sensorsignaler måste omvandlas till aktuell för långdistansöverföring utan att förlora signalintegritet.

Bild 12: Distribuera signaler i elektroniska system
Nuvarande avdelare distribuerar också signaler inom elektroniska system, vilket säkerställer att signaler delas mellan parallella vägar med minimal förlust eller distorsion.
Utforskningen av nuvarande förhållanden och den nuvarande avdelningsregeln i parallella kretsar klargör en grundläggande aspekt av elektroteknik med långtgående applikationer.Genom att förstå hur ström distribueras över olika grenar baserat på deras motstånd kan ingenjörer utforma kretsar som är både effektiva och säkra.De tekniska principerna som diskuteras, såsom Ohms lag och Kirchhoffs nuvarande lag, är inte bara teoretiska konstruktioner utan är nyckeln till praktiska tillämpningar, till exempel i förspänning av transistorer, utformningen av kraftförsörjningskretsar och implementeringen i nuvarande avkänningsmekanismer.
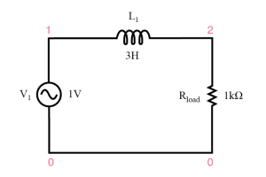
I en krets som innehåller kondensatorer är den nuvarande avdelningsregeln baserad på impedanserna (som beror på frekvensen på grund av att kondensatorer har frekvensberoende reaktans).Formeln för strömmen genom en kondensator i ett parallellt nätverk är:

Där Jagär den totala nuvarande in i nätverketZc är kondensatorns impedans, och Ztotalär motsvarande impedans av det parallella nätverket.
En spänningsdelare är en krets som matar ut en bråkdel av dess ingångsspänning över en viss belastning.Den består vanligtvis av två motstånd i serie, med utgångsspänningen som tagits över en av dem.
En nuvarande avdelare är en konfiguration där den inkommande strömmen delar upp i flera vägar i en krets med olika grenar med sin impedans.Fördelningen av ström beror på impedansen för varje gren.
För en grundläggande strömavdelningskrets med två grenar som har impedanserZ1 och Z2 strömmen igenomZ1 ges av:

Denna formel gäller alla passiva komponenter (motstånd, kondensatorer, induktorer), justering av impedansen på lämpligt sätt.
För att lösa för ström i en krets använder du vanligtvis Ohms lag,
därV är spänningen,Jag är den nuvarande och R är motståndet.I mer komplexa kretsar kan du använda Kirchhoffs nuvarande lag (KCL) och Kirchhoffs spänningslag (KVL) tillsammans med impedansvärdena för kondensatorer och induktorer om de finns.
Ohms lag är grundläggande för att förstå förhållanden i elektriska kretsar, och säger att strömmen genom en ledare mellan två punkter är direkt proportionell mot spänningen över de två punkterna och omvänt proportionell mot motståndet.
Kirchhoffs nuvarande lag (KCL) säger att den totala strömmen som kommer in i en korsning måste motsvara den totala strömmen som lämnar korsningen.
Kirchhoffs spänningslag (KVL) säger att summan av de elektriska potentiella skillnaderna kring alla stängda nätverk är noll.
Skicka en förfrågan, vi svarar omedelbart.
på 2024/06/17
på 2024/06/14
på 8000/04/18 147757
på 2000/04/18 111934
på 1600/04/18 111349
på 0400/04/18 83719
på 1970/01/1 79508
på 1970/01/1 66898
på 1970/01/1 63010
på 1970/01/1 63007
på 1970/01/1 54081
på 1970/01/1 52118