
Bild 1: Kondensatorkrets
I elektriska kretsar, Kondensatorer tjäna ett syfte för både lagring och urladdning av elektrisk laddning.De har två ledande plattor separerade med en isolerande dielektriska.Deras förmåga att hålla laddningen mäts i Farads.

Bild 2: Kondensator
Kondensatorer kan anslutas i serie eller parallella.I serien minskar fler kondensatorer den totala kapacitansen, användbar för att uppnå lägre kapacitans.Parallellt ökar fler kondensatorer total kapacitans, idealisk för hög kapacitans i små utrymmen, såsom strömförsörjningsfilter.Det dielektriska materialet påverkar en kondensators prestanda, vilket bestämmer maximal laddning, nedbrytningsspänning och kretfrekvensrespons.Avancerade kondensatorer använder material som keramik, tantal eller polymerelektrolyter för högre kapacitans, temperaturstabilitet och lågt läckage.

Bild 3: kondensator
Här är en enkel förklaring av deras egenskaper och hur dessa konfigurationer kan ordnas för att få den önskade kapacitansen.

Bild 4: Kapacitansserien
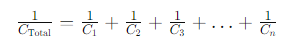
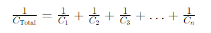
När du ansluter kondensatorer i serie blir den totala kapacitansen mindre.Detta händer eftersom avgiften måste resa genom mer material, vilket gör det svårare att lagra avgift.Den totala kapacitansen (1/ctotal) är summan av ömsesidigheten för varje enskild kondensator (1/c1 + 1/c2 + ... + 1/cn).Den totala kapacitansen är alltid mindre än den minsta kondensatorn i serien.Formeln för att beräkna total kapacitans i serie är:

Kretsdesigners måste ta hänsyn till denna funktion när de väljer kondensatorer för att uppfylla specifika kapacitanskrav.Praktiska begränsningar som rymd- och tillämpningsbehov kan begränsa antalet kondensatorer i serie, och varierande spänningsfördelningar kan lägga till komplexitet om inte kondensatorer är identiska.

Figur 5: Kapacitans parallell
När kondensatorer är anslutna parallellt ökar den totala kapacitansen.Detta beror på att den kombinerade ytan för alla kondensatorer tillåter mer laddning att lagras vid samma spänning.Den totala kapacitansen (ctotal) är summan av kapacitanserna för varje kondensator (c1 + C2 + ... + cn).Den totala kapacitansen kommer att vara större än den största enskilda kondensatorn.Formeln för att beräkna total kapacitans parallellt är:

Även om ett obegränsat antal kondensatorer kan anslutas parallellt, praktiska begränsningar som fysiskt utrymme, kretsändamål och konstruktionsbegränsningar begränsar ofta antalet.Kondensatorer av hög kvalitet med lämpliga spänningsgraderingar och toleranser är bra för pålitlig kretsprestanda.Denna formel möjliggör exakt kontroll över kapacitansvärden, vilket gör det möjligt för designers att optimera kretsbeteende, energieffektivitet och prestanda, vilket gör det till en hörnsten i elektronik och elektroteknik.

Bild 6: Serier och parallella
En seriekondensatorkrets har kondensatorer kopplade i följd längs samma väg, vilket säkerställer att identiska laddningar eller strömmar går igenom varje komponent.Det garanterar enhetligt strömflöde över kondensatorerna, en grundläggande aspekt för att förstå beteendet hos sådana kretsar.

Bild 7: Seriekondensatorkrets
I en serieinställning måste varje kondensator hantera samma laddning.När en likspänningskälla appliceras, dikterar seriens anslutning att laddar omfördelning längs kondensatorerna för att upprätthålla denna jämvikt.Till exempel, om en spänningskälla är ansluten över kondensatorer c1, C2och c3 Med värden 2F, 4F respektive 6f inträffar följande:
• Den högra sidan av C3 blir positivt laddad på grund av attraktionen av elektroner mot batteriets positiva terminal.
• Detta underskott av elektroner på c3Rättplattan inducerar ett liknande underskott på c2S högra plattan och i följd samma effekt inträffar på C1.
• Denna kedjereaktion över kondensatorerna säkerställer enhetlig laddningsfördelning.
Exempel:
Med tanke på kapaciteterna C1= 2f, c2= 4f, c3= 6F och en likspänning på 10V, vi kan bestämma laddningen och spänningsfördelningen:


Bild 8: Exempel på serien
Beräkning av ctotala utbyten ungefär 0,92F.
Att använda q = c × v, där q är laddningen och v är spänningen:

Således har varje kondensator en laddning på 9,2C.
Spänning över varje kondensator hittas med v = cq:

Summan av enskilda spänningar, v1+V2+V3, bör vara lika med källspänningen (10V).Här beräknar det till cirka 8.43V, vilket indikerar ett eventuellt avrundnings- eller beräkningsfel i våra första uppskattningar eller antaganden.
En parallell kondensatorkrets är en elektronisk installation där kondensatorer är anslutna sida vid sida över vanliga punkter, vilket gör att var och en kan fungera oberoende under samma spänning.Detta skiljer sig från seriekretsar, där kondensatorer delar en laddning.

Bild 9: Parallell kondensatorkrets
I en parallell är spänningen över varje kondensator densamma.Laddning som varje kondensator lagrar varierar emellertid beroende på dess kapacitans.En högre kapacitans innebär att en kondensator kan lagra mer laddning.Om vi till exempel har kondensatorer på 8 Farads (F) och 4F kommer 8F -kondensatorn att lagra mer laddning än 4F -kondensatorn när båda är under samma spänning.
En viktig fördel med parallella kondensatorer är ökningen av den totala kapacitansen.Till skillnad från seriekretsar, där den totala kapacitansen är mindre än någon enskild kondensator, parallellt, är den totala kapacitansen summan av alla individuella kapaciteter.Detta händer eftersom plattområdet effektivt ökar utan att ändra avståndet mellan dem, vilket förbättrar kretsens förmåga att lagra laddning.
Exempel:

Bild 10: Provparallell
Tänk på en krets med tre kondensatorer anslutna parallellt med en 10V likströmskälla.Kondensatorerna har dessa kapaciteter: c1 = 8f, c2 = 4f och c3 = 2f.Varje kondensator upplever samma 10V, men lagrar olika avgifter baserat på deras kapacitans:
Kondensator c1: Med 8F lagrar den en laddning på 80 Coulombs (c), beräknat som Q = C × V, vilket är 8f × 10V = 80C.
Kondensator c2: Med 4F lagrar den en laddning på 40C, beräknad som 4F × 10V = 40C.
Kondensator c3: Med 2F lagrar den en laddning på 20C, beräknat som 2F × 10V = 20C.
Den totala laddningen i kretsen är summan av alla avgifter: qT= Q1+Q2+Q3= 80C+40C+20C = 140C
Detta tillägg visar hur en parallell kondensatorkrets förbättrar laddningslagring genom att kombinera kapacitans hos enskilda kondensatorer.En parallell kondensatorkrets ökar den totala kapacitansen och laddningskapaciteten, varvid varje kondensator upplever samma spänning.
För att förstå hur energi lagras i kondensatorer arrangerade i serie eller parallella, börjar vi med den grundläggande formeln för den energi som lagras i en enda kondensator:

Här, uC är energin i Joules, Q är laddningen i Coulombs och C är kapacitansen i Farads.
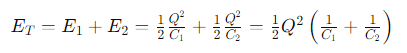
För kondensatorer i serie, överväg två kondensatorer med kapacitet C1 och C2.Förhållandet mellan laddning och spänning för varje kondensator ges av C = VQ.I en seriekonfiguration är samma laddning Q på varje kondensator:

Den totala energin som lagras i systemet är summan av de enskilda energierna:

Detta visar att den effektiva kapacitansen för seriekondensatorer är den ömsesidiga summan av de enskilda kapacitanserna, vilket minskar den totala kapacitansen och förändrar energilagringen jämfört med enstaka eller parallella konfigurationer.
För kondensatorer parallellt har varje kondensator samma spänning över den.Energin för varje kan uttryckas med den spänningsbaserade formeln:

Om två kondensatorer C1 och c2 är parallellt och har samma spänning V över dem, deras totala energilagring är:

Denna beräkning visar att den totala kapacitansen för parallella kondensatorer är summan av de enskilda kapacitanserna, vilket ökar den totala energin som lagras jämfört med individuella eller seriekonfigurationer.
Att använda kondensatorer i serien erbjuder vissa fördelar, inklusive en ökad total arbetsspänning.Denna konfiguration möjliggör också mer effektiv spänningsbalansering, särskilt när högvärdesmotstånd (cirka 100 kΩ eller högre) placeras över varje kondensator för att säkerställa en jämnare spänningsfördelning.
Att använda kondensatorer i serie kommer med nackdelar, inklusive frågan om ojämlik spänningsdelning.Variationer i läckströmmar, särskilt i elektrolytiska kondensatorer, kan resultera i att en kondensator som upplever överspänning, vilket kan leda till skador.Mindre skillnader i tillverkning eller åldringshastigheter bidrar också till variationer i läckström, vilket påverkar spänningsfördelningen.Läckströmmen i elektrolytiska kondensatorer tenderar att öka med tiden, särskilt om de inte regelbundet används.Även med balansmotstånd på plats är det behov av att lämna en marginal i arbetsspänningen, särskilt för elektrolytiska kondensatorer, för att säkerställa tillförlitlig drift.
Ökad energilagring: Att ansluta kondensatorer i parallella lagrar mer energi än när de är i serie eftersom deras totala kapacitans är summan av alla enskilda kondensatorer.
Bättre spänningsbalans: Parallella kondensatorbanker uppnår bättre spänningsbalans med färre balansmotstånd, vilket minskar kostnaderna och effektförluster.
Kostnadseffektivitet: Färre balansmotstånd i parallella anslutningar sparar pengar och förenklar systemet.
Spänningsbegränsning: I en parallell krets delar alla kondensatorer samma spänning.Den maximala spänningen är begränsad av den lägst rankade kondensatorn.Till exempel, om en kondensator är rankad vid 200V och andra vid 500V, kan hela systemet bara hantera 200V.
Säkerhetsrisker: Parallella kondensatorer lagrar och släpper ut stora mängder energi snabbt, vilket kan vara farligt om det finns en kortslutning, vilket kan orsaka allvarliga skador och skador.
Systemfelrisk: I komplexa layouter, om en kondensator misslyckas, måste de andra hantera hela spänningen, vilket kan leda till potentiellt fel i hela systemet.Denna risk är lägre i serianslutningar där en kondensatorns misslyckande inte påverkar de andra.
Denna detaljerade titt på kondensatorer hjälper oss att förstå deras funktioner och de viktiga övervägandena för deras användning i modern elektronik.Seriesinställningar ökar arbetsspänningen och hanterar spänningsfördelning men minskar kapacitansen och ökar känsligheten för variationer.Parallella inställningar ökar total kapacitans och energilagring, vilket är bra för energihantering i små utrymmen, men de kan vara riskabla om en kondensator misslyckas.Att välja mellan serier och parallella konfigurationer beror på specifika tekniska behov, balanseringsutrymme, kostnad och prestanda.De teoretiska och praktiska insikterna betonar noggrann kondensatorval och kretskonstruktion för att säkerställa tillförlitliga och effektiva elektriska system.
Seriekondensatorer används främst för att minska impedansen för en krets vid högre frekvenser, vilket förbättrar kraftöverföring över långa avstånd och förbättrar spänningsregleringen.När kondensatorer är anslutna i serie minskar den totala kapacitansen.Denna konfiguration tvingar samma laddning att passera genom alla kondensatorer, vilket resulterar i en uppdelning av den totala spänningen över varje kondensator enligt dess kapacitansvärde.Denna egenskap är särskilt användbar i applikationer som signalkoppling och filtrering, där målet är att blockera likström (DC) samtidigt som vi tillåter växelström (AC) att passera.
Seriekondensatorer används när det finns ett behov av att justera impedansen för en krets, särskilt i högfrekventa applikationer.De är också anställda för att uppnå spänningsavdelningen i en krets.I kraftsystem används seriens kondensatorer för att öka kapaciteten för kraftöverföringsledningar genom att kompensera för induktiv reaktans i långa transmissionslinjer, vilket gör att mer ström kan flyta under samma spänningsförhållanden.
Två kondensatorer är i serie om de är anslutna till slutet till änden, med den positiva terminalen för den ena ansluten till den andra negativa terminalen, och det finns bara två anslutningspunkter som involverar andra kretskomponenter.Detta arrangemang säkerställer att laddnings- och urladdningsströmmen som strömmar genom dem är densamma.Den totala kapacitansen kan också beräknas för att bekräfta detta;För seriekondensatorer är det ömsesidiga av den totala kapacitansen summan av ömsesidigheten för de enskilda kapacitanserna.
När kondensatorerna är anslutna parallellt ökar kretsens totala kapacitet.Denna konfiguration gör det möjligt för varje kondensator att hålla samma spänning, vilket leder till en ansamling av laddningskapacitet över kondensatorerna.Parallella kondensatorer används ofta för att stabilisera spänningen och lagra mer laddning i system där en högre kapacitans behövs utan att öka spänningsgraden för enskilda kondensatorer.
Konfigurationen i sig ökar inte den ursprungliga matningsspänningen;Spänningsfördelningen i kretsen varierar emellertid.I en seriekonfiguration är spänningen uppdelad mellan kondensatorerna beroende på deras individuella kapacitanser.Däremot, i en parallell konfiguration, förblir spänningen över varje kondensator densamma som matningsspänningen.
Ja, i en parallell krets är spänningen över varje kondensator densamma och lika med den totala spänningen som levereras till kretsen.Denna enhetliga spänningsfördelning gör parallella kondensatorer idealiska för applikationer som behöver jämn spänning över flera komponenter.
Skicka en förfrågan, vi svarar omedelbart.
på 2024/06/11
på 2024/06/11
på 8000/04/18 147757
på 2000/04/18 111934
på 1600/04/18 111349
på 0400/04/18 83719
på 1970/01/1 79508
på 1970/01/1 66896
på 1970/01/1 63010
på 1970/01/1 63002
på 1970/01/1 54081
på 1970/01/1 52118